
[columns size=»2/3″ last=»false»]
Ученые из МФТИ, ФГБНУ ТИСНУМ и МИСиС оптимизировали толщину слоев «ядерной батарейки», использующей для генерации электрической энергии бета-распад изотопа никеля-63. В одном грамме созданной ими батарейки запасено около 3300 милливатт-часов, что является лучшим результатом среди «ядерных батареек» на основе никеля-63 и в десять раз превосходит плотность энергии, запасенной в обычных химических элементах. Статья опубликована в журнале Diamond and Related Materials.
Как работает батарейка
Обычные батарейки, которые используют для питания часов, карманных фонариков, игрушек и других сравнительно небольших автономных электрических приборов, получают электрическую энергию с помощью химических реакций. В ходе этих реакций, которые называют окислительно-восстановительными, электроны «перетекают» через электролит с одного электрода на другой, и на электродах возникает разность потенциалов. Если соединить концы батарейки проводом, электроны придут в движение так, чтобы разность потенциалов исчезла — по проводу потечет ток. Химические батарейки, которые также называют гальваническими элементами, обладают высокой удельной мощностью, то есть отношением мощности создаваемого тока к объему батарейки, но сравнительно быстро разряжаются, и это заметно ограничивает их автономную работу. Конечно, при определенной конструкции химических элементов их можно перезаряжать (тогда их называют аккумуляторами). Однако даже в этом случае батарейку нужно вынимать из прибора, что может быть опасно или невозможно: например, если она обеспечивает питание кардиостимулятора или космического аппарата.
Немного истории
К счастью, электрическую энергию можно получать не только в химических реакциях. Более ста лет назад, в 1913 году Генри Мозли представил первый радиоизотопный источник электрической энергии, представлявший собой посеребренную изнутри стеклянную сферу, в центре которой на изолированном электроде располагался радиевый источник. Электроны бета-распада радия создавали разность потенциалов между серебряным слоем стеклянной сферы и центральным электродом. Такой источник обладает чрезвычайно высоким напряжением холостого хода — в десятки киловольт — и малым током, поэтому на практике его использование почти невозможно.
В 1953 году Пол Раппапорт предложил использовать полупроводниковую структуру для преобразования энергии бета-распада радиоактивных элементов. Бета-частицы (электроны или позитроны) ионизируют атомы полупроводника и создают неравновесные носители зарядов, которые при наличии статического поля барьерной p-n структуры упорядоченно движутся, создавая электрический ток. Основанные на этом принципе элементы назвали бета-вольтическими. Главным преимуществом таких элементов перед гальваническими выступает их долговечность: период полураспада некоторых радиоактивных изотопов составляет десятки или сотни лет, следовательно, мощность элемента будет оставаться почти постоянной в течение всего этого периода. К сожалению, удельная мощность бета-вольтических генераторов сильно уступает химическим батареям. Тем не менее, радиоактивные генераторы все-таки использовали в 70-х годах для питания кардиостимуляторов, однако впоследствии их вытеснили литий-ионные аккумуляторы, дешевизна изготовления которых перевесила долговечность бета-вольтических элементов.
Заметим, что бета-вольтические батарейки не следует путать с радиоизотопными термоэлектрическими генераторами (сокращенно РИТЭГ), которые тоже иногда называют ядерными батареями. В этих устройствах энергия радиоактивных распадов используется для нагрева и создания потока тепла, который потом конвертируется в электрический ток с помощью термоэлектрических элементов. Эффективность РИТЭГов составляет всего несколько процентов и зависит от температуры. Тем не менее, из-за своей долговечности и относительно простого устройства радиоизотопные генераторы широко используются для питания космических аппаратов — например, зонда New Horizons или марсохода Curiosity. Ранее РИТЭГи также устанавливали на радиомаяках и метеостанциях, расположенных в труднодоступных областях, однако сейчас эту практику приостановили из-за трудностей утилизации и риска утечки радиоактивных веществ.
Мощность повысили на порядок
Группа ученых под руководством Владимира Бланка, директора ФГБНУ ТИСНУМ и заведующего кафедрой «Физика и химия наноструктур» МФТИ, придумала способ почти на порядок повысить удельную мощность «ядерной батарейки». В разработанном и изготовленном ими элементе бета-частицы испускались радиоактивным изотопом никеля-63 и попадали в алмазные преобразователи на основе барьера Шоттки. Полная электрическая мощность батарейки составила около 1 мкВт, а удельная мощность достигла десяти микроватт на кубический сантиметр — этого достаточно, чтобы питать современный кардиостимулятор. Период полураспада никеля-63 составляет около ста лет. Таким образом, в одном грамме батарейки запасено около 3300 милливатт-часов, что в десять раз больше, чем в химических батарейках.
[/columns]

(a) Схема устройства «ядерной батарейки»: красным отмечены слои никеля-63, светло-серым — алмазная ячейка, темно-серым — контакт Шоттки, желтым — омический контакт, а зеленым — электрические соединители. Дизайнер: Елена Хавина, пресс-служба МФТИ
[columns size=»2/3″ last=»false»]Образец «ядерной батарейки» состоял из двухсот алмазных преобразователей, чередуемых слоями фольги никеля-63 и стабильного никеля (рисунок 1). Мощность, генерируемая преобразователем, зависит от толщины никелевой фольги и самого преобразователя, который поглощает бета-частицы. Все известные на данный момент прототипы ядерных батарей плохо оптимизированы, так как имеют лишний объем. Если толщина бета-источника слишком велика, электроны, рождающиеся внутри него, не смогут покинуть его. Этот эффект называется самопоглощением. С другой стороны, сильно уменьшать толщину источника тоже невыгодно, поскольку вместе с ней уменьшается число бета-распадов в единицу времени. Аналогичные рассуждения применимы и к толщине преобразователя.[/columns]

Ядерная батарейка, образец. Предоставлено ФГБНУ ТИСНУМ
[columns size=»2/3″ last=»false»]
Сначала расчеты
Перед учеными стояла цель: создать батарею на никеле-63 с максимальной удельной мощностью, то есть без лишнего объема. Для этого они численно смоделировали движение электронов в бета-источнике и прилегающих преобразователях и нашли их оптимальные толщины: оказалось, что эффективнее всего бета-источник на основе никеля-63 «работает» при толщине около двух микрометров, а алмазный преобразователь на основе барьера Шоттки — при толщине около 10 микрометров.
[/columns]

(а) зависимость потока энергии из никелевой фольги от ее толщины; (b) эффективность поглощения алмазным преобразователем в зависимости от его толщины. Видно, что в случае (a) насыщение происходит при толщине около двух микрометров, а в случае (b) — при толщине около десяти микрометров.
[columns size=»2/3″ last=»false»]Технология изготовления
Наиболее сложной задачей было изготовление большого количества алмазных преобразователей со сложной внутренней структурой толщиной всего в несколько десятков микрон (как полиэтиленовый пакет из супермаркета). Традиционные механические и ионные методы уменьшения толщины алмаза не подходили для решения такой задачи. Сотрудники ФГБНУ ТИСНУМ и МФТИ разработали уникальную технологию синтеза и отщепления тонких алмазных пластин от многоразовых алмазных подложек для массового создания сверхтонких преобразователей.
В качестве исходного материала были использованы 20 толстых подложек из легированного бором алмаза, выращенного методом температурного градиента. При помощи ионной имплантации в подложках создавался дефектный слой толщиной около 100 нанометров на глубине около 700 нанометров. Поверх этого слоя методом осаждения из газовой фазы синтезировался гомоэпитаксиальный (наследующий кристаллическую структуру подложки) слой слабо легированного бором алмаза толщиной 15 мкм. Затем методом высокотемпературного отжига дефектный слой подвергался графитизации, после чего удалялся методом электрохимического травления. После удаления дефектного слоя заготовку преобразователя снимали с подложки и покрывали контактами: омическим и Шоттки.
В ходе всего описанного процесса подложка теряла менее 1 мкм толщины, после чего операции повторялись. Таким образом на 20 подложках были выращены 200 преобразователей. Разработанная технология чрезвычайно важна с экономической точки зрения: высококачественные алмазные подложки стоят очень дорого, поэтому не подходят для массового производства преобразователей методом уменьшения толщины.
Все преобразователи были объединены параллельно согласно схеме, показанной на рисунке 1. Технология изготовления фольги никеля-63 толщиной 2 микрона была разработана в НПО «Луч». Батарею залили эпоксидным клеем для герметичности.
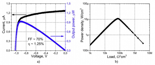
Батарея обладает характерной вольт-амперной характеристикой (рисунок 3). Напряжение короткого замыкания составило около 1 вольта, а ток короткого замыкания — около 1 мкА. Наибольшая электрическая мощность W ≈ 0,93 микроватт достигалась при напряжении V ≈ 0,93 вольт. Такая мощность отвечает плотности энергии около 3300 милливатт-часов на грамм, что в десять раз превышает плотность энергии созданной ранее в ФГБНУ ТИСНУМ «ядерной батарейки» на основе никеля-63 и во столько же раз превосходит обычные химические батарейки.[/columns]

a) зависимость силы тока и выходной мощности, выдаваемой батареей, от напряжения; (b) зависимость выходной мощности от сопротивления подключенной к батарее нагрузки.
[columns size=»2/3″ last=»false»]
В 2016 году ученые уже сообщали о разработке прототипа ядерной батарейки на основе никеля-63. В июне 2017 года работающий образец ядерной батарейки мощностью 1 микроватт с полезным объёмом 1,5 кубических сантиметров был показан ФГБНУ ТИСНУМ и НПО «Луч» на форуме «Атомэкспо-2017».
Основным фактором, ограничивающим изготовление ядерных батареек в России, является отсутствие промышленного производства и обогащения изотопа никеля-63. К середине 2020-х годов планируется поставить такое производство на поток.
Альтернативный способ создания ядерной батарейки на основе алмаза — изготовление алмазных преобразователей из радиоактивного углерода-14, обладающего чрезвычайно большим периодом полураспада, — 5700 лет. О разработке таких генераторов сообщали физики из университета Бристоля.
Будущее ядерных батареек
Полученный результат открывает новые перспективы для медицинских применений. Современные кардиостимуляторы имеют размер более 10 кубических сантиметров и потребляют мощность около 10 микроватт. Разработанная батарея может быть использована в качестве источника питания такого кардиостимулятора практически без серьезных изменений его конструкции и объема. «Вечный» кардиостимулятор значительно повысит качество жизни пациентов, так как исчезнет потребность в его обслуживании и замене батарей.
Также в разработке компактных ядерных батарей заинтересована космическая промышленность. В частности, в настоящее время существует потребность в автономных беспроводных внешних датчиках и микросхемах памяти со встроенной системой питания для космических аппаратов. Алмаз является одним из наиболее радиационно стойких полупроводников, и за счет большой ширины запрещенной зоны может функционировать в широком диапазоне температур, что делает его идеальным материалом для создания ядерных батарей космических аппаратов.
Ученые планируют продолжить свои исследования в области ядерных батарей и предлагают основные направления развития данной тематики. Во-первых, это повышение обогащения никеля-63 в батарее, что приведет к линейному росту мощности. Во-вторых — разработка алмазной p-i-n структуры с контролируемым профилем легирования, которая позволит увеличить напряжение, а значит, и полезную мощность батареи в 3 и более раза. В-третьих — увеличение площади поверхности преобразователя, что позволит разместить больше атомов никеля-63 на одном преобразователе.
Владимир Бланк, директор ФГБНУ ТИСНУМ и заведующий кафедрой «Физика и химия наноструктур» МФТИ, прокомментировал: «Мы уже достигли выдающегося результата, который может быть применен в медицине и космической технике, но не собираемся останавливаться на этом. За последние годы наш институт достиг значительных успехов в создании высококачественных легированных алмазов, в частности, алмазов с проводимостью n-типа. Это позволит нам перейти от барьера Шоттки к p-i-n структуре и повысить удельную мощность батареи в 3 раза. А чем больше удельная мощность, тем большее количество применений может найти наша разработка. Мы имеем хороший задел в области синтеза алмазов высокого качества и планируем использовать сочетание уникальных свойств этого материала для расширения компонентной базы радиационно-стойкой электроники и создания инновационных электронных и оптических устройств на его основе».
[/columns]
