На вызванный разными факторами стресс клетка может отвечать схожим образом. Это касается активации шаперонов — «защитников» белков, которые спасают их от потери формы и слипания. Ученые МФТИ и Института общей генетики им. Н. И. Вавилова РАН использовали люминесцентные биосенсоры на основе бактерий, чтобы оценить эффект ряда лекарств (в том числе от рака и антибиотиков) на синтез шаперонов. Результаты опубликованы в журнале «Генетика».

Изображение модели комплекса бактериальных шаперонов GroES и GroEL (вид сверху). Фото: Ragesoss, Public domain, via Wikimedia Commons
Когда организм сталкивается со стрессом — будь то сильный перегрев, нехватка кислорода или воздействие токсинов,— белки внутри клеток начинают терять свою правильную природную форму. Такие поврежденные белки становятся «липкими» и образуют агрегаты — опасные скопления, которые остаются в клетке и могут привести к ее гибели.
На помощь приходят молекулярные шапероны. Это специальные белки, чья задача — предотвращать агрегацию других поврежденных белков и помогать им вернуть себе правильную форму. Те шапероны, число которых резко возрастает именно при тепловом стрессе (так они были впервые описаны), называют белками теплового шока (БТШ). Именно они помогают клетке пережить различные негативные воздействия, а не только перегрев.
Белки теплового шока — это целая система клеточных «защитников». Ученые делят их на группы в зависимости от размера и механизма функционирования. По своему «весу» (молекулярной массе) они могут быть как относительно крошечными, так и гигантских размеров. Среди них есть конститутивные белки, которые работают в клетке постоянно, поддерживая «повседневный порядок», и преимущественно индуцибельные белки, которые массово синтезируются только в случае угрозы, стресса.
Вопрос также важен для медицины. Вещества, применяемые в фармакологии, нередко имеют побочные эффекты. Поэтому ученые решили проверить способность подобных веществ вызывать состояние клеточного теплового шока. Для этого применили живые биосенсоры, используя для их создания самую обычную бактерию,— кишечную палочку Escherichia coli. В нее добавили гены, нужные для люминесценции (свечения) из наземной бактерии Photorhabdus luminescens, но «связали» их активность с работой защитных систем клетки.

Кишечная палочка (E. coli). Фото:
Volunteer7, CC BY-SA 4.0, via Wikimedia Commons
Принцип работы таких биосенсоров прост. В ДНК бактерии встраивают специальную генетическую конструкцию — плазмиду. Вставка содержит лампочку, которая загорается, если срабатывает «выключатель» — промотор определенного защитного гена. Он активируется, когда бактерия сталкивается с токсином или иным стрессом, в частности перегревом.
Модель позволяет быстро и наглядно тестировать различные вещества в двух режимах: если свечение усиливается — мы нашли активатор промотора гена, если затухает или не меняется — то не активатор. В итоге получился живой датчик.
Биофизики наладили четкий алгоритм для такого рода исследований. Сначала бактерии переносят в свежий питательный бульон с селективным антибиотиком и дают им расти в течение двух часов при температуре до 37°C. Затем микробы распределяют по ячейкам 96-луночного планшета. В каждую лунку добавляют исследуемое вещество в разных дозах, а в некоторые — обычную воду в качестве контроля, чтобы сравнить результат.
В течение следующих двух часов ученые внимательно следят за реакцией клеток. Каждые 30 минут специальный высокочувствительный прибор (ридер) измеряет яркость свечения бактерий. Это позволяет точно узнать, как именно и с какой скоростью микроорганизмы реагируют на химическое воздействие, превращая невидимые молекулярные процессы в понятные числа и графики.

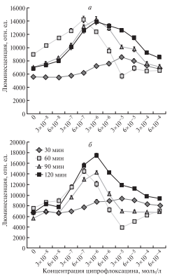
Рисунок. Люминесценция биосенсорных штаммов pGrpE-lux (а) и pIbpA-lux (б), индуцированная ципрофлоксацином в различных концентрациях при индукции в течение 30, 60, 90 и 120 мин. Источник: «Генетика»
Многочисленные проверенные в работе лекарства, повреждающие ДНК (генотоксиканты), в том числе препараты от онкологических и инфекционных болезней, оказали заметный эффект на белки клетки, заставляя срабатывать биосенсоры. Показано, что 10 из 12 протестированных препаратов вызывают бактериальный тепловой шок. Среди них антибиотики ципрофлоксацин и налидиксовая кислота, цитостатики 5-фторурацил и митомицин С, а также антибактериальное средство диоксин. Исключением стал препарат актиномицин D. Он оказался настолько токсичным, что просто убивал бактерии раньше, чем они успевали засветиться.
Эта экспериментальная модель — своего рода универсальный инструмент. Те же светящиеся бактерии и вещества, которые заставляют белки работать активнее, в будущем могут помочь ученым решить и обратную задачу: найти ингибиторы (блокаторы) их активности.
Создано уже более 100 различных тестов, превращающих обычных микробов в высокочувствительные живые приборы. В основе технологии лежат фундаментальные знания о том, как бактерии общаются и реагируют на внешние угрозы. Самыми популярными стали рекомбинантные биосенсоры на базе кишечной палочки (E. coli).
Клетки-биосенсоры стали незаменимыми в самых разных областях науки: от исследований деталей работы генных сетей внутри клетки до оценки состояния окружающей среды и безопасности новых лекарств. Они позволяют быстро и наглядно определить, насколько опасен тот или иной препарат для живого организма.
«Данные о возникновении теплового шока могут быть использованы при терапии перечисленными фармакологическими веществами. Относительная репрезентативность и простота исследования стала достижимой в результате применения цельноклеточных биосенсоров E. coli pGrpE-lux и E. coli pIbpA-lux. Это генно-инженерные люминесцирующие бактериальные клетки, которые отвечают увеличением свечения при тепловом шоке. При этом уровень люминесценции удобно считывается детектором в режиме реального времени»,— прокомментировал руководитель работы, заведующий лабораторией молекулярной генетики МФТИ Илья Манухов.
