В 2010 году Нобелевский комитет по физике сделал на редкость смелый шаг, присудив премию Андрею Гейму и Константину Новоселову за технологию получения из графита моноатомного слоя углерода — графена.

Нобелевская медаль Константина Новосёлова, лауреата 2010 года, хранится на Физтехе
Как правило, от открытия до награды проходят десятилетия. А с пионерской публикации по графену прошло всего шесть лет. Таким стремительным «нобелевским» признанием в физике твердого тела прежде могли похвастаться только транзистор (девять лет), лазер (четыре года) и высокотемпературная сверхпроводимость (всего год!).
С тех пор прошло 15 лет. За это время графен успел из «невозможного» объекта превратиться в центр большой междисциплинарной области, которую сегодня обычно называют физикой двумерных материалов и вандерваальсовых гетероструктур. Вокруг него выросло целое семейство двумерных кристаллов, появилась твистроника, а сами двумерные материалы проникли в электронику, энергетику, медицину и тяжелую промышленность.

Временная шкала четырех спринтов: транзистор (ключевой эксперимент 1947 год, Нобелевская премия 1956 год), лазер (демонстрация 1960, премия 1964), высокотемпературная сверхпроводимость (открытие 1986, премия 1987) и графен (ключевой эксперимент 2004, премия 2010).
Источник: создано при помощи ChatGPT (модель GPT-5.1)
Чтобы понять, почему графен оказался в одном ряду с транзистором, лазером и высокотемпературной сверхпроводимостью, нужно начать с того, почему двумерный кристалл долгое время вообще считался невозможным.
Графен невозможен
Это сомнение выросло из анализа флуктуаций в низкоразмерных системах, который проводили разные авторы, начиная с классической работы Ландау и Пайерлса в 1930-х.
В рамках развивавшейся теории упорядоченных состояний Ландау рассматривал влияние тепловых флуктуаций на кристаллическую решетку малой толщины. Он показал, что в бесконечно протяженной двумерной решетке длинноволновые колебания должны разрушать дальний порядок: по мере увеличения системы атомы смещаются все сильнее.
Позже, в учебнике «Статистическая физика», Ландау и Лифшиц подчеркивали ограниченность этого результата: для конечных пленок логарифмическая расходимость оказывается настолько медленной, что в широком диапазоне размеров двумерная решетка может сохранять твердо-кристаллические свойства и фактически вести себя как обычный кристалл. Эта оговорка — принципиальная: Ландау вовсе не утверждал, что двумерные кристаллы невозможны в эксперименте, он лишь указывал на хрупкость далекого порядка в бесконечной системе.
В 1966 году Дэвид Мермин и Герберт Вагнер доказали, что двумерные системы с короткодействующим взаимодействием и непрерывной симметрией не могут иметь истинного дальнего порядка при конечной температуре. Их результат относится к очень широкому классу моделей квантовой статистики и стал фундаментальным ограничением на существование кристаллического порядка в двумерии.
Кроме того, настоящего двумерного кристалла — твердой атомарной пленки толщиной 1 атом — у исследователей все равно не было. И именно поэтому мысль о его реальности долго выглядела почти парадоксальной: теоретические ограничения были известны, но оставался вопрос, может ли природа использовать какие-то дополнительные механизмы — слабые изгибы листа, рябь, конечные размеры, чтобы такая пленка все-таки была стабильной.
Топологическая лазейка
Физики, однако, не любят ультиматумов. Теоретические ограничения, о которых шла речь выше, говорили лишь о невозможности привычного дальнего порядка в двумерии — но не о том, что двумерные системы обязаны быть полностью неустойчивыми. Именно эта щель в формулировках и стала точкой входа для следующего этапа понимания.
В начале 1970-х годов Вадим Березинский, развивая идеи Ландау — Пайерлса и учитывая строгие выводы Хоэнберга, Мермина и Вагнера, показал, что в двумерных системах с непрерывной симметрией может существовать особая низкотемпературная фаза. Формально дальний порядок в ней действительно отсутствует, как и требует теорема Мермина — Вагнера, но система все равно обладает конечной жесткостью и ведет себя упорядоченно. Березинский также обратил внимание на то, что голдстоуновские возбуждения — спиновые волны — ведут себя в двумерии таким образом, что полностью разрушить упругую жесткость им не удается.
Чуть позже Джон Костерлиц и Дэвид Таулесс предложили наглядное топологическое описание этой фазы и самого перехода в высокотемпературное состояние. Они показали, что устойчивость обеспечивается не жесткой фиксацией атомов в узлах решетки, а тем, как устроены вихри — топологические дефекты поля. Каждый вихрь характеризуется числом оборотов, то есть тем, как «стрелочки» (спины или фазы) поворачиваются при обходе вокруг него. При низких температурах такие вихри сцеплены в пары вихрь-антивихрь, и их эффекты взаимно компенсируются. В этой фазе система, несмотря на отсутствие строгого дальнего порядка, остается жесткой и способной сопротивляться деформациям.
Нагрев приводит к распаду пар, и в системе появляются свободные вихри. Они могут свободно перемещаться под воздействием внешнего поля и создают диссипацию; устойчивость пропадает. Так реализуется переход Березинского — Костерлица — Таулесса, ставший одним из самых красивых открытий статистической физики XX века. За вклад в его понимание Костерлиц и Таулесс получили Нобелевскую премию по физике 2016 года (Березинский, к сожалению, не дожил до вручения).
Экспериментальные подтверждения этой картины к тому времени уже появились. В тонких пленках сверхтекучего гелия и сверхпроводников наблюдали именно такую динамику: при достижении критической температуры пары вихрь-антивихрь распадались, и свободные вихри начинали дрейфовать поперек потока. В сверхпроводнике это проявлялось особенно наглядно: движение магнитных вихрей создавало «трение», и измерительная аппаратура фиксировала появление конечного сопротивления.
Но все эти явления относились к системам, больше похожим на жидкости: в гелии двигались атомы жидкости, в сверхпроводниках — электронный газ. Настоящего двумерного кристалла — твердой пластинки толщиной 1 атом, где по сценарию БКТ должны были бы плавиться уже не фазы поля, а сама атомная решетка,— у исследователей все еще не было.

Механизм перехода БКТ в сверхпроводящей пленке. (a) Ниже критической температуры: вихри и антивихри (красные и черные кольца) связаны в тесные нейтральные пары. (b) Выше критической температуры: тепловые флуктуации разрывают связи. Появляются свободные вихри.
Источник: L. Benfatto, «The Berezinskii-Kosterlitz-Thouless Transition and its Application to Superconducting Systems», Sapienza University of Rome
Поэтому идея реального двумерного кристалла при комнатной температуре долго сохраняла вид парадокса: теория указывала на ограничения, а природа — как выяснилось позже — оставила лазейку в виде слабого изгиба листа, ряби и конечных размеров, которые позволяют системе существовать.
Тем временем давно было известно, что графит состоит из слоев, а карандаш оставляет на бумаге след из чешуек, отслаивающихся благодаря слабым вандерваальсовым силам. Логичный вопрос, можно ли получить слой толщиной 1 атом, возник еще в середине XX века.
Теоретики охотно обсуждали свойства такого гипотетического двумерного углеродного кристалла, строили модели его электронных спектров, говорили о возможной сверхпроводимости. Но экспериментаторы неизменно терпели неудачи: вместо монослоя получались грубые пленки, островки на подложках, реконструированные поверхности, но не свободно лежащий атомный лист.

Сравнение устойчивости порядка в трехмерном кристалле и двумерном кристалле при T = 0 и T > 0. В двумерии тепловые флуктуации приводят к длинноволновым изгибам пленки.
Источник: иллюстрация создана при помощи ChatGPT (модель GPT-5.1)
Графен превратился в своего рода святой Грааль материаловедения: о нем говорили, на него ссылались, его свойства обсуждали, но увидеть его никто не мог. И все это происходило на фоне теоретических аргументов о том, что такой кристалл вообще не должен быть устойчивым.
Явление слоя народу
В 1990-е годы Андрей Гейм работал в Нидерландах, в лаборатории университета Радбода в Неймегене. Там находилась крупная экспериментальная установка с резистивными магнитами, рассчитанными на рекордно высокие стационарные магнитные поля — десятки тесла. На ней изучают самые разные системы в экстремальных условиях: от мягкой конденсированной материи до сильно коррелированных электронных систем.
Именно в этом контексте и родился один из самых известных «несерьезных» экспериментов Гейма — диамагнитная левитация лягушки. В 1997 году он и коллеги показали, что достаточно сильное магнитное поле в горле биттеровского соленоида (порядка 16 Тл при типичном диаметре отверстия несколько сантиметров) может уравновесить силу тяжести и заставить висеть в воздухе любые диамагнитные объекты: каплю воды, кусочек графита, живую лягушку.
За эту работу Гейм и Майкл Берри получили в 2000 году Шнобелевскую премию по физике, а сам опыт стал классическим примером того, как несолидная идея оказывается физически содержательной и методически плодотворной.
В своих лекциях и автобиографии Гейм описывает, как именно этот опыт привел его к формату «пятничных экспериментов». Идея проста: небольшую часть времени в лаборатории сознательно отводят под рискованные, иногда почти абсурдные затеи, далекие от основной тематики научной группы. Они не должны занимать годы и не должны подставлять карьеру аспирантов, но дают шанс «пнуть» задачу совсем с другой стороны. Чаще всего такие попытки ничем не заканчиваются, но иногда — как в случае с левитацией лягушки — выстреливают и открывают совершенно неожиданное направление.
В 2001 году Гейм переехал в Манчестерский университет, возглавил там центр мезонауки и нанотехнологий, а вместе с ним в Манчестер перебралась и традиция пятничных экспериментов. К началу 2000-х в манчестерской лаборатории сложился узнаваемый стиль: днем — «основная» мезофизика, а по вечерам и пятницам — экспериментальные «пинки» идей. Именно так и родился знаменитый скотч-эксперимент с графитом.
Суть манчестерского подхода к графену очень проста. Берут кристалл высокочистого графита. К нему приклеивают полоску канцелярского скотча и отрывают. На ленте остается тонкий слой графита. Затем ленту складывают графитом внутрь, прижимают, снова раскрывают и повторяют процедуру несколько раз. На ленте образуется мозаика из чешуек различной толщины.

Схема метода микромеханического расслоения (метод скотча). Клейкая лента отделяет слои от кристалла графита. Затем эти слои переносятся на кремниевую подложку, где после удаления скотча остаются чешуйки графена.
Источник: R. Rudrapati, «Graphene: Fabrication Methods, Properties, and Applications in Modern Industries», IntechOpen, 2020 (CC BY 3.0)
После этого ленту с графитовыми хлопьями прижимают к кремниевой подложке с тонким слоем диоксида кремния SiO₂ и отрывают. Часть хлопьев остается на подложке — среди них, при удачном стечении обстоятельств, оказываются и одноатомные слои.
Дальше в ход идет оптика. Толщину слоя SiO₂ на подложке подбирают так, чтобы за счет интерференции света монослой графена слегка отличался по цвету от подложки. При освещении белым светом он проявляется как очень бледное фиолетовое или голубоватое пятно. То, что раньше было совершенно невидимым, становится различимым в обычный оптический микроскоп. Вот — невозможный двумерный кристалл, лежит перед вами на столе.
Что ты такое
В серии ранних статей 2004–2005 годов было показано сразу несколько ключевых вещей. Оказалось, что из графена можно изготовить полевые транзисторы, управляя концентрацией носителей напряжением на затворе. Проводимость при изменении типа носителей, от электронов к дыркам, ведет себя необычно и не пропадает полностью. В сильном магнитном поле проявляется аномальный полуцелый квантовый эффект Холла.
Все эти наблюдения указывали на то, что электроны в графене ведут себя так, как если бы у них не было массы, и подчиняются уравнению Дирака из квантовой электродинамики, а не привычному для твердых тел уравнению Шредингера. Их скорость достигает примерно 1000 км/с, то есть около 1/300 скорости света в вакууме.

Зонная структура графена и знаменитые «конусы Дирака». (a) Трехмерное изображение энергетического спектра. В обычных металлах график был бы параболой, похожей на чашу. В графене валентная зона и зона проводимости соприкасаются в точках, образуя форму конусов. Такая геометрия означает, что электроны движутся как безмассовые частицы. (b) Вид сверху: конусы расположены по углам шестиугольной ячейки обратной решетки, в точках K и K’.
Источник: N. Bhattacharjee, «Multi-colour transient spectroscopy on single wall carbon nanotubes», PhD Thesis, 2012
Важно подчеркнуть: физически электрон, конечно, не теряет свою массу. Просто в кристалле его движение удобно описывать с помощью эффективной массы, и в графене она оказывается близка к нулю. Этого достаточно, чтобы наблюдать реальные релятивистские эффекты в материале, который лежит у вас на столе, безо всяких ускорителей частиц с энергиями в миллионы электронвольт.
Шестилетний спринт
С 2004 по 2010 год вокруг графена развернулся беспрецедентно быстрый научный спринт. За считанные годы он превратился из курьезного объекта в настольную модель релятивистской квантовой теории и плацдарм для новых технологий.

Шестилетний спринт графена: временная шкала от первых образцов (2004) через наблюдение конусов Дирака и аномального квантового эффекта Холла, измерения механической прочности, реализацию аналога парадокса Клейна и появление первых гетероструктур на основе графена до присуждения Нобелевской премии в 2010 году.
Источник: иллюстрация создана при помощи кода на Python 3.12.12 (библиотека Matplotlib)
Именно в этот промежуток времени на графене успели показать и предсказать большинство эффектов, которые сегодня принято приводить как классические примеры двумерной физики. Часть экспериментов была доведена до совершенства уже после 2010-го, но сами идеи, модели и первые наблюдения родились именно на гребне этой первой волны.
Очень прочный
На первых этапах внимание было приковано к электронным свойствам графена. Но довольно быстро появилось другое направление — измерение его механической прочности. Экспериментальные работы конца 2000-х показали, что одноатомная мембрана графена выдерживает очень большие напряжения. Модуль Юнга оказывается порядка терапаскаля, предел прочности — около сотни гигапаскалей.
Если бы вы могли сделать гамак из одного слоя графена и как-то закрепить его края, такая мембрана могла бы выдержать несколько килограммов при ничтожной собственной массе. На сайте Нобелевского комитета есть классический пример: гамак для четырехкилограммовой кошки. Проблема лишь в том, что его толщина — 1 атом, и дырку в нем слишком легко проделать случайно.

От графита к графену и «гамаку для кошки»: слои графита, расщепляющиеся до одиночного листа графена, на фоне ряби двумерной решетки, напоминающей мысленный эксперимент Нобелевского комитета о невидимом графеновом гамаке, достаточно прочном, чтобы выдержать кошку.
Источник: Нобелевский постер от Нобелевского комитета по физике, веб-адаптация Nobelprize.org
Комбинация колоссальной прочности, гибкости и прозрачности сразу породила множество идей для приложений — от композитов и армированных полимеров до прозрачных токопроводящих пленок и ультратонких мембран. Уже к моменту присуждения Нобелевской премии стало ясно, что графен — не только фундаментальный объект, но и потенциальная «арматура» для целой группы отраслей.
Парадокс Клейна на столе
Один из любимых примеров физиков — реализация в графене парадокса Клейна. Любимый он именно потому, что соединяет в себе сразу несколько вещей. Это классический парадокс релятивистской квантовой теории, который десятилетиями существовал в основном как красивый мысленный эксперимент из учебников по квантовой электродинамике. Его формулировка выглядит нарочно абсурдной: чем выше потенциальный барьер, тем легче частице его «проткнуть». В обычных материалах реализовать такой режим практически невозможно, а в графене вдруг можно.
В релятивистской теории частица, налетающая на очень высокий потенциальный барьер, при определенных условиях не просто частично отражается, а почти полностью проходит через него. Казалось бы, чем выше барьер, тем труднее, но при наличии безмассовых частиц и линейного спектра все оказывается наоборот. В обычных полупроводниках увидеть такой эффект практически невозможно: электроны там ведут себя как частицы с конечной массой, спектр не линейный, а условия для «чистого» релятивистского туннелирования недостижимы.

Реализация парадокса Клейна в графене: слева — схемы электронного спектра и электростатического барьера на графене, справа — угловое распределениекоэффициента передачи, показывающее, что для определенных углов падения потенциальный барьер становится практически прозрачным.
Источник: M. I. Katsnelson, K. S. Novoselov, A. K. Geim, «Chiral tunnelling and the Klein paradox in graphene», Nature Physics 2, 620–625 (2006)
В графене ситуация другая. Уже в самые первые годы после открытия было показано, что если сформировать на нем p–n-переход, то есть область, где носители меняют знак заряда, то электрон, налетающий на границу под определенным углом, пролетит через нее без отражения. Это и есть аналог парадокса Клейна.
Для теоретиков это возможность увидеть «живьем» эффект, о котором десятилетиями рассказывали только в лекциях. Для экспериментаторов — демонстрация того, что графен не просто еще один материал, а платформа для настольной релятивистской физики. Для преподавателей и студентов — яркая иллюстрация того, как формулы из курса квантовой теории поля вдруг начинают работать в образце, который лежит под микроскопом. Поэтому пример с парадоксом Клейна так любят приводить в лекциях, обзорах и популярных текстах о графене.
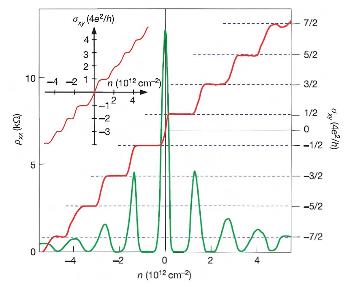
Аномальный полуцелый квантовый эффект Холла
Практически сразу после первых транспортных измерений стало понятно, что в графене квантовый эффект Холла ведет себя необычно. В обычных двумерных электронных газах проводимость в квантовом холловском режиме принимает значения, кратные целым числам. В графене же плато появляются на полуцелых значениях, словно вся диаграмма смещена на половину единицы. Это связано с фазой Берри и особенностями топологии электронных состояний вблизи конусов Дирака.

Целочисленный квантовый эффект Холла в однослойном графене: ступенчатое квантование холловской проводимости σ_xy (красная кривая) с полуцелыми заполнениями и осцилляции продольного сопротивления p_xx (зеленая кривая) в магнитном поле 14 Т. Вставка показывает квантовый эффект Холла в двуслойном графене.
Источник: W. Bao, Graphene Nanoelectromechanical Systems, PhD thesis, UC Riverside (2010), рис. 4-1, стр. 94; данные по однослойному графену — Novoselov et al., Nature 438, 197–200 (2005)
Важно не только само отличие рисунка плато. Графен дает очень простой и наглядный пример того, как топология перестает быть оторванным от практики разделом математики и начинает определять измеряемые величины — в данном случае шаг квантованной проводимости. Для студентов и молодых исследователей аномальный холловский эффект в графене часто становится первым живым примером топологических фаз, после которого легче воспринимаются топологические изоляторы, сверхпроводники и более сложные объекты.
У этого эффекта есть и вполне практическая сторона. Квантовый эффект Холла давно используется как основа для эталона электрического сопротивления: квантованное значение R = h/(νe²) воспроизводится с точностью до миллиардных долей, и на этой базе строятся международные стандарты сопротивления.
В графене квантованный эффект Холла наблюдается при более высоких температурах и в более широком диапазоне магнитных полей, чем в классических гетероструктурах GaAs / AlGaAs, поэтому графен рассматривают как перспективный материал для компактных и менее требовательных к условиям квантовых стандартов сопротивления и прецизионных измерений фундаментальных констант.
Бабочка Хофштадтера и фрактальная спектроскопия
Идея наблюдать в графеновых структурах фрактальные спектры, подобные бабочке Хофштадтера, появилась уже в ходе первых лет графенового бума. Теоретические работы 2000-х показали, что если поместить двумерный электронный газ в периодический потенциал и сильное магнитное поле, можно получить самоподобную структуру энергетических зон. Реализовать необходимые условия в обычных полупроводниковых гетероструктурах было трудно, но наличие высококачественных графеновых и графен–hBN образцов открыло такую возможность.
Первые схемы экспериментов, первые суперрешетки и первые признаки сложной структуры зонного спектра относятся как раз к эпохе до Нобелевской премии и к первым годам после нее. Детальная и красивая картинка бабочки Хофштадтера была получена позже, но по сути стала продолжением той же линии. Здесь графен проявил себя как материал, в котором можно проигрывать сценарии из теоретических статей 1970-х годов и превращать их в реальные диаграммы, видимые на экране измерительной установки.

Бабочка Хофштадтера в графен–hBN-суперрешетке: слева — «веер» уровней Ландау, карта продольного сопротивления RxxR_{xx}Rxx билинейного графена как функции магнитного поля и напряжения на затворе; справа — те же данные в координатах нормализованных плотности носителей n/n0n/n_0n/n0 и магнитного потока ϕ/ϕ0phi/phi_0ϕ/ϕ0 (диаграмма Ванье). Наклонные линии соответствуют квантовым холловским состояниям, в том числе «аномальным» состояниям, возникающим из фрактальных минизон в спектре Хофштадтера.
Источник: C. R. Dean et al., «Hofstadter’s butterfly and the fractal quantum Hall effect in moiré superlattices», Nature 497, 598–602 (2013)
С практической точки зрения такие фрактальные мини-зоны важны тем, что дают в руки конструктору материалов очень тонкий регулятор электронных свойств. В графен–hBN и скрученном графене разные участки «бабочки» соответствуют топологическим состояниям с различными числами Черна и наборами краевых каналов. Это позволяет, меняя магнитное поле и плотность носителей, переключать режимы транспорта — от обычного квантового Холла до черновских изоляторов и фракционных состояний.
Уже сейчас обсуждаются приложения таких суперрешеток для программируемых топологических каналов в квантовых схемах, высокочувствительных датчиков и компактных устройств, где эффективная проводимость и плотность состояний настраиваются электрическими и магнитными полями, а не только химическим составом материала.
Магнитоэкситоны, плазмоны и другие коллективные явления
Еще одна линия, активно развивавшаяся в нулевые, связана с коллективными возбуждениями. Теоретики почти сразу после первых измерений в графене начали считать, как могут вести себя плазмоны — коллективные колебания электронного газа, магнитоэкситоны — связанные состояния электрон—дырка в магнитном поле, и поляритоны — гибриды света и плазмонов, распространяющиеся вдоль поверхности.

Локализованные плазмоны в графене: схема инфракрасного наноимиджинга и экспериментальные карты ближнего поля, на которых видны стоячие волны плазмонов вдоль края и дефектов графеновой пленки. Внизу показано управление длиной волны плазмонов за счет изменения диэлектрических свойств подложки: при той же частоте света плазмонный режим локализуется на масштабах порядка сотен нанометров.
Источник: A. N. Grigorenko, M. Polini, K. S. Novoselov, «Graphene plasmonics», Nature Photonics, 749–758 (2012)
Для экспериментаторов это выглядело как приглашение в новый зоопарк квазичастиц. Уже в конце 2000-х и начале 2010-х годов были проведены первые эксперименты по плазмонам в графене и окрестных структурах, показавшие, что длина волны плазмонов может быть существенно меньше длины волны падающего излучения. Это сразу открыло возможности для более компактных оптических схем, терагерцовой техники и чувствительных сенсоров.
Магнитоэкситоны и связанные с ними особенности спектра в сильных полях стали удобным тестом теорий сильных корреляций в системе безмассовых фермионов. Поляритоны на основе графена и его гетероструктур заложили основу для создания метаматериалов с управляемыми оптическими свойствами. Многие из этих направлений оформились уже в подробные экспериментальные программы чуть позже, но корни и постановка задач относятся именно к тем первым годам графенового бума.
Графеновая лихорадка
После 2004 года поток статей о графене рос почти экспоненциально. По оценкам библиометрических исследований, к середине 2010-х в базах данных научных журналов числились десятки тысяч публикаций со словом graphene в названии или ключевых словах.
Эта лавина началась почти сразу после первых работ Манчестерской группы. Уже в период между 2004 и 2010 годами появились отдельные графеновые сессии на конференциях, первые тематические школы и обзоры.
Молодые физики иногда шутят: если вы случайно добавили в образец углерод, внимательно посмотрите — вдруг это графен, и у вас уже есть статья. Эта шутка родилась именно на волне первых лет, когда графен был на слуху у всех, от теоретиков до экспериментаторов самых разных специальностей.
Параллельно рос и вал патентов. Крупнейшие игроки — Китай, США, Южная Корея, Япония, страны Европы — активно патентовали способы синтеза, устройства, композиты, сенсоры. Китай довольно быстро вышел в лидеры по числу графеновых патентов, что хорошо отражает его стратегию: вкладываться в новые материалы на ранней стадии, пока рынок еще не устоялся. Россия в этой гонке выглядела более скромно, но и у нас уже тогда появлялись свои патенты на графеновые покрытия, мембраны, композиты для нефтегазовой отрасли.

Рост числа научных публикаций и патентных заявок по графену: экспоненциальное увеличение числа статей после 2004 года и несколько отстающий, но быстро растущий поток патентов.
Источник: по мотивам библиометрических и патентных исследований графена (Ahn et al., 2015; Zou et al., 2018)
2D-вселенная
Практически одновременно с первыми экспериментами вокруг графена начало формироваться мощное теоретическое сообщество. Одну из ключевых ролей здесь сыграл физик Михаил Кацнельсон. Его статьи помогли понять, как правильно описывать безмассовые фермионы в реальной кристаллической решетке, как работает квантовый транспорт, экранирование, коллективные возбуждения.
Позже Кацнельсон написал монографию Graphene: Carbon in Two Dimensions, которую полушутя называют «Библией графена». В ней графен рассматривается как физическая платформа, на которой удобно обсуждать релятивистские эффекты, топологические состояния, квантовый транспорт в мезоскопических структурах. Здесь графен часто называется «настольной моделью Вселенной».
На крошечном кусочке графена можно проигрывать многие сюжеты, которые в природе происходят в недрах нейтронных звезд или на расстояниях, доступных только огромным коллайдерам. Разумеется, речь идет не о точном воспроизведении всех деталей. Графен — не мини-вселенная в буквальном смысле, а аналоговый симулятор. На нем можно реализовывать движение безмассовых частиц с линейным спектром и наблюдать связанные с этим релятивистские эффекты. Можно изучать квантовый транспорт в режимах, аналогичных сильно вырожденной материи. Можно видеть топологические переходы и состояния, связанные с фазой Берри, фрактальные спектры вроде бабочки Хофштадтера, коллективные возбуждения — плазмоны, магнитоэкситоны, поляритоны.
В астрофизике и физике высоких энергий подобные режимы возникают при гигантских плотностях, полях и энергиях. В графене многие из тех же идей оказываются доступны в тонкой пленке на столе и в диапазоне напряжений и температур, достижимых обычной лабораторной аппаратурой. Это и делает графен «настольной вселенной» в смысле богатства физических сценариев, которые можно на нем проиграть.
Послеграфеновые материалы и гетероструктуры
Как только научились уверенно выделять графен, исследователи немедленно обратились к другим слоистым кристаллам. Так вокруг графена сформировалось семейство двумерных материалов, где графен стал первым, но далеко не единственным героем.
Одним из первых в этот список попал гексагональный нитрид бора hBN — материал, очень похожий по структуре на графен, но с чередованием атомов бора и азота. Его иногда называют «белым графеном». Главное отличие от графена в том, что у hBN широкая запрещенная зона. Это идеальный изолятор, прозрачный и химически устойчивый. hBN оказался великолепной подложкой для графена. Период решетки совпадает почти идеально, а лишних носителей он не добавляет. В результате носители в графене меньше рассеиваются, и их подвижность растет. Нитрид бора стал не просто родственным двумерным кристаллом, но и важным технологическим элементом, без которого многие тонкие эффекты в графене было бы гораздо сложнее наблюдать.
Следующий шаг был вполне естественным. Исследователи стали складывать различные двумерные материалы друг с другом. Графен на hBN, дисульфид молибдена MoS2 на графене, несколько слоев разных дихалькогенидов — все это вместе получило название вандерваальсовых гетероструктур, по типу сил, удерживающих эти пленки.
Ключевое преимущество таких структур в том, что каждой пленке почти все равно, что под ней и над ней. Слои слабо взаимодействуют химически, но могут сильно влиять друг на друга электронно и оптически. Это позволяет настраивать свойства: выбирать проводящий слой, изолирующий слой, оптически активный слой, слой с сильным спин-орбитальным взаимодействием. По сути, это путь к материалам по чертежу, когда нужный набор свойств задается комбинацией слоев, а не только химическим составом одного кристалла.
Особую роль в этом семействе сыграли дихалькогениды переходных металлов, такие как MoS₂, WS₂, WSe₂ и другие. В объемном виде многие из них не выглядят идеальными материалами для оптоэлектроники, но в монослое ситуация меняется. Они начинают ярко светиться при возбуждении светом, что делает их кандидатами на роль материалов для двумерных светодиодов, лазеров и фотодетекторов.
[su_note note_color=»#e8e8e8″]Читайте также: Задачи на плоскости. Графен открыл дорогу всему классу двумерных материалов. В центре внимания прямо сейчас дихалькогениды переходных металлов.[/su_note]
Кроме того, в этих материалах проявляются спин-валлейные (от valley — долина) эффекты. У электронов появляется дополнительная координата — номер долины в импульсном пространстве, которой тоже можно управлять с помощью света и внешних полей. Это дает задел для валлейтроники, области, где информация кодируется не только в заряде и спине, но и в номере долины. Такие эффекты напрямую связаны с топологией зонной структуры и продолжают линию «настольной вселенной», начатую графеном.
Сам графен тоже можно преобразовывать химически. Если присоединить к каждому атому углерода атом фтора, получается флюорографен, по сути, двумерный тефлон. Он химически устойчив, электрически изолирующий, но при этом сохраняет механическую прочность исходного графена.
Другие варианты — гидрографен, оксид графена и множество органических структур. Каждый вариант дает свой набор свойств. В одном случае открывается широкая запрещенная зона, в другом растет химическая активность, в третьем меняется смачиваемость поверхности. Это превращает графен в платформу для химического дизайна, где электронные и поверхностные свойства можно тонко настраивать под задачу — от сенсоров и мембран до покрытий.
Дальше пошли двумерные металлы. В последние годы появились сообщения о синтезе однослойного золота, материала, который иногда называют goldene. В отличие от графена, он не образует самонесущих листов, но может быть стабилизирован на подходящих подложках.
Для оптики и катализа такие структуры чрезвычайно интересны. Двумерный металл дает мощные плазмонные резонансы и высокую поверхностную активность. На горизонте уже видны проекты по двумерным слоям серебра, меди и других металлов. Все эти направления — прямые потомки графена и уверенности в том, что двумерные кристаллы вообще могут быть стабильными и технологически управляемыми.
Муаровые сверхрешетки и рождение твистроники
Если взять два одинаковых листа миллиметровой бумаги, наложить один на другой и чуть повернуть, вы увидите крупный муаровый рисунок — большие ромбы и полосы, возникающие из-за неполного совмещения сеток. С графеном происходит то же самое. Если два слоя слегка повернуть относительно друг друга, в электронной структуре возникает новая муаровая сверхрешетка.
Оказалось, что эта геометрическая игра ведет к драматическим последствиям. При некоторых «магических» углах поворота скорость электронов в графене резко падает, а энергетические зоны становятся почти плоскими. В плоских зонах кинетическая энергия подавлена и на первый план выходят взаимодействия между электронами. Это идеальная среда для сильно коррелированных фаз: изоляторов Мотта, магнитных состояний, сверхпроводимости.
[su_note note_color=»#e8e8e8″]Читайте также: Экситоны в полупроводниках удивили ученых своими свойствами[/su_note]
В 2018 году группа Пабло Харильо-Эрреро показала, что два слоя графена, повернутые друг к другу примерно на 1,1 градуса, демонстрируют богатую фазовую диаграмму. При одних концентрациях носителей материал ведет себя как изолятор, при других — как сверхпроводник. Температура перехода пока невысока, единицы кельвинов, но принципиально важно другое: фазу можно переключать простым изменением плотности носителей и угла поворота.
Так родилась твистроника — область, где главным параметром становится не химический состав и не давление, а угол. Скрученные гетероструктуры на основе графена и других двумерных материалов быстро превратились в платформу для изучения топологических фаз. В них можно реализовывать состояния, похожие на квантовые спин-жидкости, топологические изоляторы, экзотические магнитные фазы. С помощью аккуратного подбора углов и комбинаций слоев ученые создают материалы, у которых заранее задается характер электронных и магнитных состояний.
[su_note note_color=»#e8e8e8″]Читайте также: Эпоха графена закончилась? Да здравствует графен![/su_note]
Для теоретиков конденсированного состояния это очень удобная площадка. Вместо того чтобы годами ждать, когда в природе найдется подходящий кристалл, можно предложить конкретную конфигурацию слоев и углов, а экспериментаторы попробуют ее собрать. На основе муаровых структур развивается и направление квантовых симуляторов, где сложные модели квантовой теории можно реализовать в виде искусственных материалов и затем изучать в эксперименте.
