Международная группа ученых из Китая и России предложила и теоретически обосновала элегантный метод управления сложными квантовыми состояниями в экситон-поляритонных конденсатах. Исследователи разработали двухступенчатый подход, позволяющий с помощью оптического насоса превращать нестабильные, асимметричные состояния системы в устойчивые и упорядоченные. Это открывает новые пути для создания передовых оптических и квантовых устройств. Результаты работы опубликованы в журнале Physical Review B. Исследование было частично поддержано грантами Национального научного фонда Китая и Санкт-Петербургского государственного университета.
В последние десятилетия физики уделяют пристальное внимание экситон-поляритонам. Эти удивительные квазичастицы рождаются в полупроводниковых микрорезонаторах, где фотоны (частицы света) и экситоны (возбужденные состояния электронов в веществе) настолько сильно взаимодействуют, что образуют единое целое. Поляритоны сочетают в себе лучшие свойства своих «родителей»: они почти невесомы, как фотоны, что позволяет им перемещаться с огромной скоростью, но при этом способны взаимодействовать друг с другом, как частицы вещества. Важнейшим их свойством является способность образовывать Бозе-Эйнштейновский конденсат — макроскопическое квантовое состояние, где миллионы частиц ведут себя как единый гигантский атом — при температурах, значительно превышающих те, что требуются для Бозе-конденсации атомарных газов.
Однако у этой технологии есть фундаментальная сложность. Поляритонные конденсаты — это открытые системы. Для поддержания конденсата необходим внешний источник энергии — оптический насос (лазер), который восполняет неизбежные потери поляритонов из-за их конечного времени жизни. Этот постоянный приток и отток энергии создает сложный баланс усиления и потерь, который трудно контролировать. В таких системах особенно сложно добиться состояний с так называемой PT-симметрией ( пространственно-временной), которые могут вести себя удивительно стабильно, как если бы никакого обмена энергией с окружением не было. Если физическая система обладает PT-симметрией, её поведение не меняется при одновременном зеркальном отражении и обращении времени. Достижение PT-симметрии — одна из ключевых задач, так как она позволяет создавать устойчивые и управляемые волновые структуры, необходимые для передачи и обработки информации.
Коллектив исследователей из Чжэцзянского педагогического университета, Университета Вестлейк, Санкт-Петербургского государственного университета и Московского физико-технического института поставил перед собой задачу разработать надежный способ создания и контроля состояний, близких к PT-симметричным, в реалистичной нелинейной модели поляритонного конденсата. Вместо того чтобы пытаться навязать системе идеальную симметрию «в лоб», ученые применили более тонкий, двухэтапный подход. На первом этапе они теоретически создали для поляритонов особый энергетический ландшафт с помощью сложного потенциала, имеющего гауссову форму и встроенные, симметрично расположенные области усиления и потерь. Этот ландшафт, «освещаемый» равномерным фоновым лазерным насосом, заставил поляритонный конденсат самоорганизоваться в целый ряд новых, ранее не описанных устойчивых нелинейных состояний: ярких и темных солитонов (уединенных волн, сохраняющих свою форму), а также темных вихрей, напоминающих крошечные водовороты.

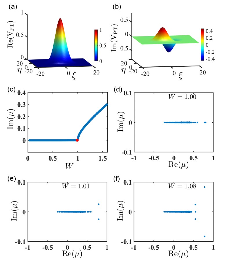
Рисунок 1. На панелях (a) и (b) показан искусственно созданный энергетический ландшафт, в котором реальная часть (a) направляет поляритоны, а мнимая (b) симметрично добавляет (красный пик) и отнимает (синий провал) энергию. Графики (d)-(f) демонстрируют, как при увеличении интенсивности этого обмена энергией система переходит от абсолютно стабильного состояния (d) к неустойчивому (f), иллюстрируя концепцию нарушения PT-симметрии. Источник: Physical Review B.
Проанализировав эти новые состояния, физики обнаружили, что, хотя они и были стабильными, идеальной PT-симметрии в них не наблюдалось.


Рисунок 2. Различные типы стабильных ярких солитонов (уединенных волн), которые самопроизвольно формируются в системе. Маленькие вставки показывают карту внутреннего дисбаланса усиления и потерь. Источник: Physical Review B.
Внутренние потоки энергии, соответствующие усилению и потерям, не были идеально сбалансированы в пространстве. Но именно здесь исследователи сделали ключевое открытие. Они заметили, что для определенного класса состояний, которые они назвали «гауссовым типом», карта этого дисбаланса сама по себе имела предсказуемую, гауссову форму. Это наблюдение стало ключом к решению проблемы. Если дисбаланс предсказуем, его можно компенсировать. На втором этапе ученые ввели в модель дополнительный, так называемый композитный гауссов насос. Этот насос представляет собой еще один лазерный луч, профиль интенсивности которого можно точно настраивать. Ученые подобрали его параметры таким образом, чтобы он действовал как идеальный корректор: создавал усиление именно в тех областях, где в системе были потери, и наоборот.

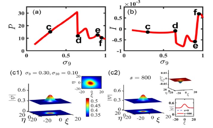
Рисунок 3. Процесс перехода от несимметричного состояния к симметричному. Панель (a) — настройки корректирующего насоса, где синяя область соответствует наилучшей компенсации. Панели (c1) и (c2) показывают состояние «до» и «после»: солитон (c1) под действием насоса превращается в идеально сбалансированное, близкое к PT-симметричному состояние (c2). Вставка в (c2) доказывает, что внутренний дисбаланс энергии практически обнулен. Источник: Physical Review B.
Алексей Кавокин, директор Международного центра теоретической физики имени А. А. Абрикосова МФТИ, прокомментировал: «Наша работа предлагает новый путь к управлению открытыми квантовыми системами. Вместо того чтобы создавать идеальную систему с нулевым дисбалансом накачки и потерь, мы научились измерять и целенаправленно компенсировать такой дисбаланс с помощью внешнего воздействия. Это похоже на то, как система активного шумоподавления в наушниках анализирует внешний шум и генерирует звук в противофазе, чтобы его погасить. Оказывается, схожий принцип помогает восстановить PT-симметрию в квантовом конденсате “жидкого света” — экситон-поляритонов».
Численное моделирование полностью подтвердило правоту этого подхода. Тщательно настроенный корректирующий насос эффективно «сгладил» внутренний дисбаланс усиления и потерь. В результате изначально несимметричные состояния плавно трансформировались в состояния, очень близкие к идеальной PT-симметрии. Чтобы количественно оценить этот переход, авторы ввели специальный параметр — «коэффициент равновесия», который позволил им точно определить, когда система достигает желаемого симметричного режима. Анализ внутренних потоков энергии в полученных состояниях выявил уникальные физические явления, такие как однонаправленная передача энергии внутри солитона, что является визитной карточкой систем с PT-симметрией и подтверждает успешность предложенного метода.

Рисунок 4. Визуализация потоков энергии внутри скорректированных состояний. Для яркого солитона (a) наблюдается четко направленный поток от источника (G) к стоку (L), что является неопровержимым доказательством достижения состояния, близкого к PT-симметричному. Другие панели показывают уникальные «течения» внутри темного солитона (b) и квантовых вихрей (c, d). Источник: Physical Review B.
Уникальность проведенного исследования в его гибкости и реалистичности. Ученые не пытались создать идеальную систему с нуля, а работали с теми стабильными, но несовершенными состояниями, которые естественным образом возникают в конденсате, и уже затем доводили их до требуемого баланса генерации и потерь. Этот подход гораздо лучше приспособлен для работы со сложными нелинейными эффектами, присущими реальным физическим системам. Полученные результаты имеют не только фундаментальное, но и большое практическое значение. Способность точно контролировать и стабилизировать квантовые состояния в поляритонных конденсатах является необходимым шагом на пути к созданию оптических транзисторов, переключателей и логических элементов, работающих на порядки быстрее современных электронных аналогов. Проведенное исследование предоставляет теоретикам и экспериментаторам подробный рецепт для создания и управления сложными квантовыми объектами, прокладывая дорогу к новым технологиям обработки информации и квантового моделирования.
Научная статья: Ming Chen, Muhammad Idrees, Kun Zhang, Hui-jun Li, Ji Lin, and Alexey Kavokin, Pump-driven transitions between non- and near-PT-symmetric steady states in polariton condensates, Physical Review B, 112, 075153, Published 27 August 2025, https://doi.org/10.1103/PhysRevB.112.075153.
