Международный коллектив ученых, в который входят ученые из МФТИ, исследовал данные, полученные в результате измерения космических лучей, исходящих из остатков сверхновой звезды Кассиопея А. Они сделали вывод, что пока что данные не позволяют судить о том, являются ли эти остатки источниками космических лучей с энергиями порядка ПэВ. Однако через 5—10 лет, как ожидают ученые, данных будет достаточно, чтобы сделать однозначный вывод. Работа опубликована в журнале Astrophysical Journal Letters.
В современном понимании галактических космических лучей остатки сверхновых звезд уверенно занимают первое место среди их предполагаемых источников. Это представление сложилось на базе многолетних наблюдений и теорий, таких как диффузионное ускорение ударной волной (DSA). Предположение, что остатки сверхновых могут действовать как «ПэВатроны» ускорители элементарных частиц, способные разгонять частицы до энергий тысяч триллионов электрон-вольт — становится особенно актуальным, когда мы сталкиваемся с резким падением их количества в спектре (изломом спектра) на уровне 3—4 ПэВ.
Один ПэВ — это тысяча ТэВ. Это огромная энергия, которая может освободиться, если одновременно аннигилируют около миллиона таких частиц, как протоны или нейтроны. Для сравнения, в Большом Адронном Коллайдере максимально достигнутая в экспериментах энергия ускоренных частиц в сотни раз меньше. Даже в космосе мало что может разогнать частицы до таких энергий.
Диффузионное ускорение ударной волной, исходящей от сверхновых звезд, не позволяет ускорить протоны до энергий выше 100 ТэВ. Однако физик Белл ещё в 2004 году предложил решение — возможность усиления магнитных полей с помощью неустойчивостей, вызванных космическими лучами. В сочетании с интенсивной ударной волной и экстремальными условиями это действительно может привести к ускорению частиц до 1 ПэВ и выше.
Когда протоны и ядра, разогнанные ударной волной, вступают в контакт с окружающим газом, они становятся «ведрами» для «гейзеров» γ-лучей и нейтрино, так как они их поглощают и ускоряются за счет этого. Если мы обнаружим γ-лучи с ПэВ энергией от более чем десяти остатков сверхновых, это будет убедительным доказательством того, что протоны или электроны действительно разгоняются до очень высоких энергий.
К сожалению, существующие данные не позволяют тонко различить, являются ли эти γ-лучи адронов или лептонов. Даже если принять, что γ-лучи создаются ускоренными протонами, все равно остается сложная задача: объяснить наблюдаемые яркие спектры γ-излучения. Измерения показывают, что спектр γ-лучей имеет «крутые» характеристики, противоречащие предсказаниям теории диффузионного ускорения ударной волной сверхновой звезды.
Существует три возможных объяснения этого феномена. Первое — это комбинация спектров, которая дает «крутую» форму, но может вести к ошибочному пониманию при высоких энергиях. Второе — мощные ударные волны действительно могут порождать жесткие спектры протонов в различных условиях, что дает надежду на тщательное исследование с помощью современных детекторов, таких как CTA и LHAASO. Третья версия заключается в том, что протоны могли быть разогнаны до высочайших энергий в первые сто лет после взрыва сверхновой, однако эти самые высокоэнергетические частицы уже покинули остаток сверхновой звезды.
Исторически важным объектом для изучения служит остаток сверхновой Кассиопея А (Cas A). Он известен своим определенным возрастом и расстоянием и относится к классу суперновых, образованных в плотном окружении, состоящем из межзвездного газа. Исследования, основанные на данных детектора LHAASO KM2A, попытаются оценить, способен ли Cas A действовать как источник космических лучей.
Международный коллектив ученых проанализировал результаты наблюдения за γ-лучами, исходящими от Cas A, и теоретические модели, их описывающие, исследовал физические свойства Cas A и потока γ-излучения, идущего от него.
Благодаря недавним открытиям стало известно, что Cas A окружен богатой плотной газовой средой. Были обнаружены молекулярные облака общей массой около 200 солнечных масс, расположенные в непосредственной близости от остатка. Средняя плотность газа в радиусе 200 парсеков вокруг Cas A достигает 10 частиц на кубический сантиметр.
Используя данные, собранные с помощью 13,7-метрового миллиметрового телескопа обсерватории Purple Mountain, учёные подсчитали общую массу молекулярного газа в окрестностях Cas A вплоть до 9,5 × 105 солнечных масс, а профили линий газа указывают на возможные взаимодействия между остатком сверхновой и молекулярными облаками.
Одной из ключевых задач является понимание того, как протонные космические лучи (PeV CR) взаимодействуют с этим газом и производят γ-лучи, которые мы можем наблюдать. Научные модели предлагают различные способы распространения космических лучей в этой плотной среде. Это важно, поскольку даже если высокоактивные протоны были разогнаны в ранние эпохи, они должны оставаться в пределах видимости для наших детекторов.
Модели распространения лучей можно разделить на диффузионные и баллистичестические. Оказалось, что второй вариант более предпочтителен для описания космических лучей от Cas A, потому что высокоэнергетические протоны двигаются медленнее из-за турбулентности, вызванной инжектированными космическими лучами. Это ограничивает их диффузию, делая её менее эффективной.
В случае, когда диффузией можно пренебречь, источник космический лучей можно рассматривать как точечный.

Рисунок 1. Верхние пределы потока γ- лучей, рассчитанные в предположении, что Cas A является точечным источником. Точки данных получены из наблюдений MAGIC и VERITAS. Источник: Astrophysical Journal Letters.
Однако экспериментальные данные показывают, что гипотеза о том, что поток γ-лучей от Cas A может быть точно описан баллистическими моделями, не подтверждается. В таком случае для анализа удобно учесть фактор диффузионной компоненты, который, как оказалось, составляет не более 10 %.
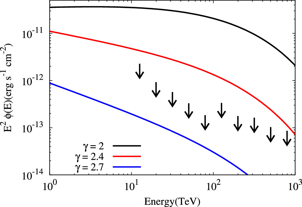
Когда высокоэнергетические протоны сталкиваются с такими частицами, как пионы, происходит процесс, в котором пион может распадаться на один или более протонов. Протонный индекс является параметром, который определяет распределение энергии этих протонов, которое обычно может быть выражено в виде степенного закона с показателем, равным этому протонному индексу.
Исследователи построили графики предсказаний из более точной модели для разных значений протонных индексов для распадов пионов, при которых испускаются γ-лучи.

Рисунок 2. Верхние пределы потока γ- лучей от Cas A в модели с учетом диффузионной компоненты. Источник: Astrophysical Journal Letters.
Неоднозначность в моделях распространения движет исследователей к поиску строгих верхних пределов для потока γ-излучения и, следовательно, для понимания общей энергетики космических лучей. Недавний анализ данных, собранных детектором LHAASO KM2A, показал, что в окрестностях Cas A нет обнаруживаемого избытка γ-лучей высоких энергий, что подчеркивает необходимость дальнейших исследований.
Астрофизики рассчитывают, что накопление данных в течение следующих 5—10 лет окончательно опровергнет или подтвердит, является ли сверхновая типа Cas A естественным ускорителем частиц, разгоняющим их до энергий порядка ПэВ.
«Результаты нашей работы имеют очень важное значение для астрофизики, — рассказал Олег Щеголев, кандидат физико-математических наук, преподаватель МФТИ. — Они помогут понять, могут ли остатки сверхновых быть основными источниками космических лучей энергий порядка ПэВ в нашей галактике».
