Ученые из Института радиотехники и электроники им. В. А. Котельникова РАН и МФТИ исследовали теоретическую модель, описывающую нелинейный отклик ферромагнитных частиц на внешнее переменное поле крайне высокой частоты. Им удалось обнаружить ряд интересных физических эффектов. Работа опубликована в журнале AIP Advances.
Магнитные материалы сопровождают человечество на протяжении десятилетий, незаметно присутствуя в самых разных устройствах — от простых динамиков до сложнейших медицинских томографов и суперкомпьютеров. За внешней простотой магнита скрывается микроскопический мир сложнейших физических процессов, которые происходят с огромной скоростью.
Зарождение научного понимания магнетизма уходит корнями в XIX столетие, когда физики начали разрабатывать теорию магнетизма, способную описывать магнитные взаимодействия в микроскопических масштабах. Их усилия получили новый импульс в начале XX века благодаря быстрому развитию современной квантовой теории под руководством Вернера Гейзенберга, Эрвина Шредингера, Макса Борна, Паскуаля Йордана, Поля Дирака и Вольфганга Паули. Настоящий прорыв произошел в середине XX века, когда Ландау и Лифшиц математически сформулировали закон динамики вектора намагниченности. Уравнение Ландау—Лифшица стало фундаментальным для понимания процессов намагничивания, но долгое время оставалось неполным, не учитывая тончайшие квантово-релятивистские эффекты, объясняющие инерционность динамических процессов в наномагнитах.
Развитие терагерцовых (ТГц) технологий, разработка сверхбыстродействующей памяти на основе спиновых систем требуют исследования сверхбыстрых релаксационных процессов и сверхвысокочастотных свойств магнитных материалов, которые невозможно осуществить без учета инерционности намагниченности. Инерционность меняет характер движения вектора намагниченности, а именно на регулярную прецессию вокруг эффективного поля накладывается нутационное движение. Нутационный характер движения намагниченности отражается в возникновении нутационного резонанса в ТГц части спектров компонент тензора восприимчивости магнитного материала. Кроме того, если время внешнего воздействия настолько мало, что ориентация намагниченности остается практически неизменной за время воздействия, намагниченность вследствие наличия инерционности может приобрести кинетическую энергию, достаточную для преодоления потенциального барьера между метастабильными состояниями уже после окончания воздействия. Такой механизм инерционного переключения намагниченности особенно актуален на фемтосекундных временных масштабах и может быть реализован при переключении намагниченности фемтосекундными лазерными импульсами.
Физики из ИРЭ РАН и МФТИ провели исследование сверхвысокочастотных свойств ферромагнитных наночастиц с учетом инерционных эффектов, используя модифицированное уравнение Ландау—Лифшица—Гильберта.

Рисунок 1. Геометрия задачи: ферромагнитная частица под воздействием внешнего магнитного поля. Источник: AIP Advances.
Ученые создали микроскопическую математическую модель, которая позволяет буквально «препарировать» поведение намагниченности ферромагнитной наночастицы, разложив ее колебания на отдельные гармонические составляющие. Они использовали метод теории возмущений — математический инструмент, позволяющий исследовать отклик нелинейной системы в несколько этапов с последовательным усложнением математического аппарата на каждом этапе.
Компьютерное моделирование являлось неотъемлемой частью исследования. Исследователи варьировали множество параметров: силу постоянного магнитного поля, частоту переменного поля, характеристики затухания и магнитной анизотропии.
В ходе исследования были обнаружены несколько интересных эффектов.
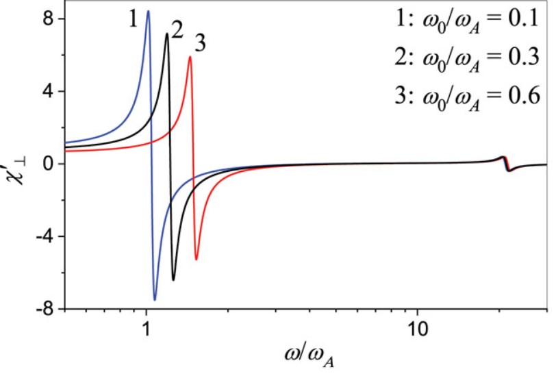
В спектре магнитных колебаний появились дополнительные резонансы — своего рода «призрачные» пики — вызванные нелинейностью и инерционностью намагниченности. Они исчезают в линейном случае в безынерционном пределе.

Рисунок 2. Действительная часть поперечной составляющей тензора линейной восприимчивости. Дополнительные резонансные пики. Источник: AIP Advances.

Рисунок 3. Мнимая часть поперечной составляющей тензора линейной восприимчивости. Дополнительные резонансные пики. Источник: AIP Advances.
В спектре восприимчивости выделяются две разные резонансные области дисперсии (область ферромагнитного резонанса и область нутационного резонанса), которые качественно отличаются друг от друга. Расчеты показали, что для поперечной компоненты восприимчивости с ростом величины внешнего магнитного поля область ферромагнитного резонанса смещается к более высоким частотам, а нутационный резонанс происходит практически при одних и тех же частотах, определяемых обратным значением времени инерционной релаксации.
Известно, что вследствие нелинейности отдельные компоненты намагниченности колеблются с удвоенной частотой, словно сердце спортсмена при определенных нагрузках. Однако этот эффект удвоения частоты хорошо изучен лишь в области ферромагнитного резонанса. Исследователям же удалось обнаружить удвоение частоты и для нутационного резонанса.
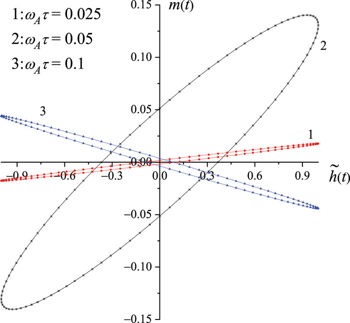
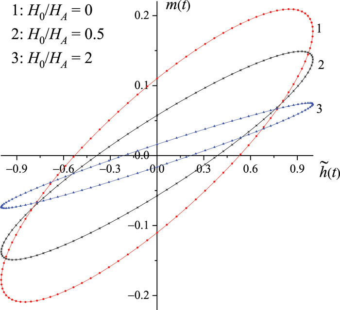
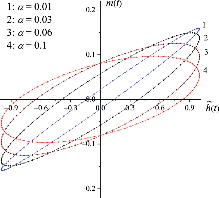
Также интересными оказались результаты исследования динамического магнитного гистерезиса при сверхвысоких частотах. Полученные зависимости намагниченности от переменного поля позволили выявить особенности процесса перемагничивания на крайне высоких частотах, а также оценить мощность тепловых потерь за цикл перемагничивания.
Оказалось, что форма магнитного гистерезиса может значительно изменяться в зависимости от мельчайших изменений условий эксперимента. Это напоминает сложную игру света и тени в калейдоскопе, где малейшее движение руки способно полностью изменить картину. Подбором параметров можно задать ферромагнитное, парамагнитное и диамагнитное поведение зависимости намагниченности магнитной наночастицы от внешнего переменного поля.

Рисунок 4. Петли магнитного гистерезиса на частоте ω/ω A = 20 (область частот нутационного резонанса) для параметра затухания α = 0,03, H0 /H A = 0,6, H ac / H A = 0,5 и различных значений параметра инерции τ . Источник: AIP Advances.

Рисунок 5. Петли магнитного гистерезиса на частоте ω/ω A = 20 (область частот нутационного резонанса) для параметра затухания α = 0,03, ωAτ = 0,05, Hac / HA = 0,5 и различных значений параметра постоянного поля H0 . Источник: AIP Advances.

Рисунок 6. Петли магнитного гистерезиса на частоте ω/ω A = 20 (область частот нутационного резонанса) для H 0 / H A = 0,5, H ac / H A = 0,5, ω A τ = 0,05 и различных значений параметра затухания α . Источник: AIP Advances.
Результаты исследования важны для целого ряда технологических областей. Сверхбыстрая магнитная запись данных может стать значительно эффективнее, появится возможность записывать и считывать информацию на частотах, которые ранее считались недостижимыми. Электронная промышленность получит импульс для создания принципиально новых высокоскоростных устройств — от суперпроизводительных процессоров до новых систем хранения данных. Медицинское приборостроение также может извлечь выгоду из понимания тонких магнитных процессов. Речь идет о более точных томографах, сверхчувствительных биосенсорах, медицинских КВЧ устройствах нового типа и интеллектуальных системах доставки лекарств.
«Мы фактически заглянули внутрь спиновых процессов, которые происходят быстрее, чем мигание глаза. Это как открытие новой вселенной, спрятанной внутри крошечной магнитной частицы», — рассказал Антон Титов, младший научный сотрудник лаборатории терагерцовой спинтроники МФТИ.
Ученые планируют продолжить свои изыскания, распространив разработанную методику на магнитные частицы с более сложными кристаллическими структурами и внутренними магнитокристаллическими потенциалами. В планах – детальное изучение влияния температурных флуктуаций, которые вносят элементы нестабильности в поведение магнитных наносистем. Следующим этапом исследования станет создание новых математических моделей, способных описывать поведение магнитных наночастиц с более высокой точностью.
