Ученые из МФТИ и НИЦ «Курчатовский институт» разработали новую теоретическую основу для описания фотоэффекта — одного из фундаментальных процессов взаимодействия света и вещества. Они впервые показали, что если измерять вероятность перехода электрона не в обычное, а в закрученное состояние, обладающее собственным моментом вращения, то можно предсказать и наблюдать новые типы асимметрий, особенно важных для изучения «зеркальных» молекул. Этот подход, обобщающий классическое явление фотоэлектронного циркулярного дихроизма, открывает путь к созданию более чувствительных методов анализа сложных органических соединений. Результаты исследования, поддержанного грантом Российского научного фонда номер 24-12-00055, опубликованы в журнале Physical Review A.
Со времен Эйнштейна фотоэффект описывается как процесс, в котором частица света, фотон, выбивает электрон из атома или молекулы. В традиционной картине мира, прочно укоренившейся в учебниках, и фотон, и вылетевший электрон рассматриваются как плоские волны — объекты, обладающие определенным направлением движения, или линейным импульсом. До сих пор вихревая структура электрона считалась чем-то экзотическим, индуцированным либо особым светом, либо сложной структурой самой молекулы. Это особое явление не следует путать с поляризацией. Круговая поляризация заключается в том, что летит волна, но вектор напряженности поля в каждой точке “крутится”, а закрученный свет заключается в том, что летит не волна, а целый торнадо. Все усилия теоретиков были направлены на точное описание сложного танца электронов внутри атома до и после поглощения фотона. Однако недавние достижения в области оптики, позволившие создавать так называемые вихревые пучки света — свет, который закручен вокруг своей оси подобно штопору и несет орбитальный угловой момент, — заставили физиков пересмотреть и свойства электронов. Возникла идея, что и свободный электрон может существовать в виде такого же вихря.
Физики из МФТИ поставили перед собой более фундаментальную задачу. Они решили найти способ изучать вероятность вылета таких электронов из молекул. Выбор между этими двумя описаниями — «летящий по прямой» или «вращающийся» электрон — диктуется не природой самой частицы, а способом ее детектирования в эксперименте. Исходя из этой смелой предпосылки, ученые построили всеобъемлющую теорию фотоионизации молекул, в которой конечное состояние электрона описывается именно через его вращательные свойства. Для проверки своей теории они провели расчеты для молекулы глицеральдегида — классического примера хиральной молекулы, существующей в двух зеркальных формах (энантиомерах), как левая и правая рука.

Рисунок 1. Трехмерный портрет хиральной молекулы. Изображение внешней электронной орбитали молекулы глицеральдегида (D-энантиомера). Красные и синие области показывают разные знаки волновой функции электрона. Именно с этой сложной, асимметричной структуры свет выбивает вихревой фотоэлектрон, который несет в себе информацию о ее «зеркальности». Источник: Physical Review A.
Главным результатом работы стало предсказание новых хиральных асимметрий. Хиральность, или «зеркальность», играет огромную роль в природе. Например, от хиральности молекулы лекарства может зависеть его эффективность. Более того, зеркально отраженные лекарства могут быть не только более или менее полезными, чем обычные, но и могут нанести серьезный вред человеческому организму. Например, известна трагическая история с талидомидом, одна из зеркальных версий которого давала лечебный успокаивающий и снотворный эффект, а вторая вызывала мутации у детей, если его принимали беременные женщины. В результате этого пострадали несколько десятков тысяч детей, из которых около около десяти тысяч родились с тяжелыми инвалидностями. Талидомидовая трагедия заставила многие страны пересмотреть практику сертификации лекарственных средств, ужесточив требования к сертифицируемым препаратам. В настоящее время это лекарство активно используется для лечения многих заболеваний, но для безопасного его применения необходим контроль хиральности молекул.
До сих пор для изучения хиральности молекул использовался фотоэлектронный циркулярный дихроизм (PECD) — эффект, при котором вероятность вылета электрона в определенном направлении (вперед или назад относительно движения света) зависит от взаимной «зеркальности» молекулы и поглощенного ею света (с правой или левой круговой поляризацией). Новая теория добавляет в это уравнение третьего хирального участника — сам вылетающий электрон, который тоже может быть «правым» или «левым» в зависимости от знака его момента вращения. Возникает своего рода тройное хиральное взаимодействие, которое проявляется в виде ранее неизвестных асимметрий в распределении вылетающих электронов. Эти асимметрии несут в себе гораздо более богатую информацию о структуре молекулы, чем та, что доступна в традиционных экспериментах.

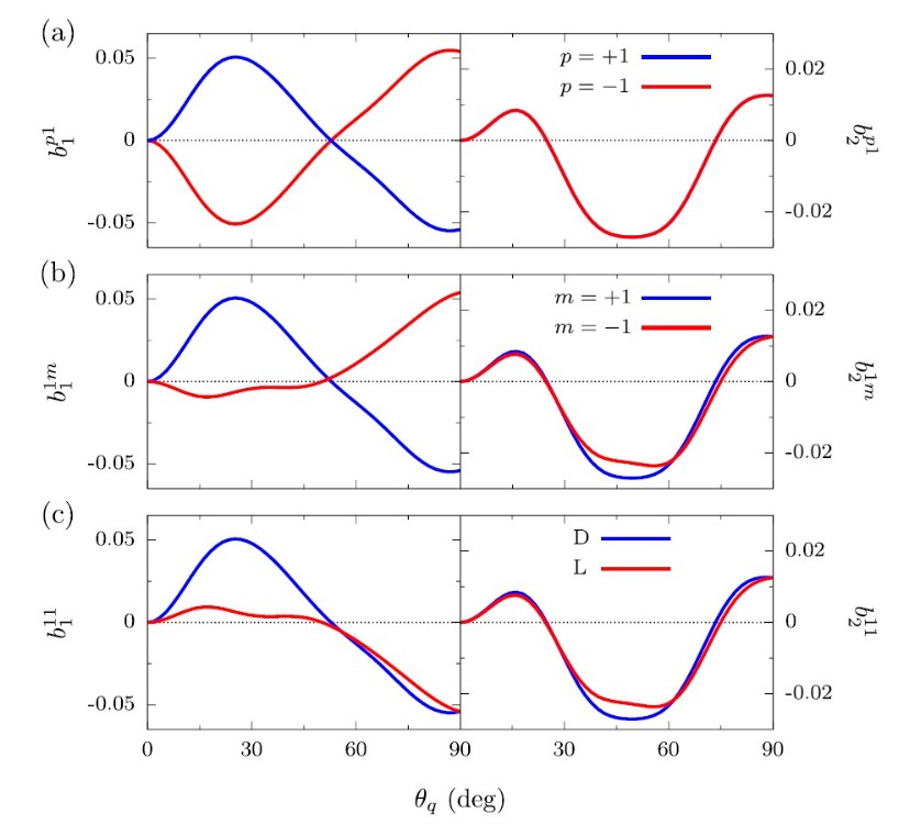
Рисунок 2. Тройная хиральная асимметрия в действии. Графики показывают, как «зеркальность» (хиральность) фотона, электрона и молекулы влияет на результат фотоэффекта. Расхождение между синими и красными линиями — это и есть предсказанная асимметрия. (a) Зависимость от хиральности света (правая/левая поляризация). (b) Зависимость от хиральности самого электрона (вращение по/против часовой стрелки). (c) Зависимость от хиральности молекулы (сравнение ее левой и правой «зеркальных» форм). Источник: Physical Review A.
Кирилл Базаров, младший научный сотрудник МФТИ, старший преподаватель кафедры теоретической физики им. Л.Д. Ландау МФТИ, прокомментировал: «Мы привыкли описывать свободный электрон его линейным импульсом, то есть отвечая на вопрос «куда он летит?». Но квантовая механика говорит нам, что его угловой момент, отвечающий на вопрос «как он вращается?», является столь же фундаментальной характеристикой. Мы задались вопросом: что если построить все описание фотоэффекта вокруг измерения именно этого вращения? Оказалось, что такой подход вскрывает скрытый пласт информации о взаимодействии света с молекулой, особенно когда все три участника — фотон, молекула и сам электрон — обладают хиральностью».
Новизна предложенного подхода заключается в смене парадигмы: вихревое состояние электрона рассматривается не как частный случай, а как универсальный и фундаментальный способ описания результата фотоионизации. Что особенно важно, теория не просто предсказывает новые эффекты, но и предлагает конкретный способ их экспериментальной проверки. Авторы показали, что с помощью специальной кольцевой «вилочной» дифракционной решетки, установленной на пути фотоэлектронов, можно измерить то, что нужно..

Рисунок 3. Как поймать электронный вихрь. Предложенная схема эксперимента. (a) Электрон, выбитый из молекулы, пролетает через специальную дифракционную решетку и попадает на экран с детекторами. (b) Ключевой элемент — кольцевая «вилочная» решетка, которая действует как «сортировщик», отклоняя электроны в разные стороны в зависимости от их момента вращения. (c) Картина на экране: электроны с разным «вращением» (m = 0, +1, -1) собираются в разных областях, что позволяет их раздельно зарегистрировать. Источник: Physical Review A.
Потенциальное практическое применение этого исследования огромно. Создание методов, способных с высокой точностью различать энантиомеры, критически важно для фармацевтики, где одна зеркальная форма молекулы может быть лекарством, а другая — ядом. Новый подход, учитывающий хиральность всех участников процесса, обещает стать основой для более чувствительных и информативных аналитических инструментов. Для фундаментальной науки эта работа углубляет понимание самых сокровенных аспектов взаимодействия света и материи, показывая, что даже в таком, казалось бы, досконально изученном явлении, как фотоэффект, нас все еще ждут удивительные открытия.
Научная статья: Kirill V. Bazarov and Oleg I. Tolstikhin, Theory of the photoeffect with vortex photoelectrons, Physical Review A 112, 033111 (2025). DOI: 10.1103/9t4d-xj5v.
