Международный коллектив ученых из Российского квантового центра, МФТИ, МГУ имени М.В. Ломоносова и Университета электронных наук и технологий Китая создал уникальную наноструктурированную поверхность, которая позволяет динамически управлять одним из фундаментальных свойств света — его поляризацией — с помощью обычного нагрева. Исследователи продемонстрировали, что можно не только изменять величину вращения плоскости поляризации света, но и его направление. Это открывает путь к созданию перестраиваемых оптических компонентов, сверхбыстрых модуляторов света и высокочувствительных сенсоров нового поколения. Работа опубликована в журнале Physical Review Applied.
Эффект Фарадея, открытый почти два века назад, описывает вращение плоскости поляризации линейно поляризованного света при его прохождении через материал, намагниченный вдоль направления распространения света под действием внешнего магнитного поля. Это явление лежит в основе важнейших оптических устройств, таких как оптические изоляторы, которые заставляют свет двигаться только в одном направлении, подобно диоду в электронике. Однако в большинстве материалов магнитооптические свойства являются константой, «зашитой» в их структуру при изготовлении. Создать материал, чьими магнитооптическими характеристиками можно было бы управлять «на лету», — одна из ключевых задач современной фотоники, решение которой позволит перейти от статичных оптических элементов к полностью реконфигурируемым системам.
Чтобы решить эту задачу, команда ученых обратилась к концепции метаповерхностей — искусственных структур, чьи оптические свойства определяются не столько химическим составом, сколько геометрией наноструктур на их поверхности. Исследователи создали своего рода наноразмерный «бутерброд»: на тонкую пленку из магнитного материала (феррит-граната, легированного диспрозием и церием) они нанесли упорядоченный массив крошечных цилиндров из кремния. Диаметр каждого цилиндра составляет всего 280 нанометров.

Рисунок 1. Устройство и внешний вид управляемой метаповерхности. Слева (a) — принципиальная схема устройства: на магнитную пленку (Dy:CeYIG) нанесены кремниевые (Si) наноцилиндры. Эта структура позволяет управлять вращением поляризации (Φ) проходящего света. Справа (b) — реальное изображение метаповерхности, полученное с помощью сканирующего электронного микроскопа. Источник: P.V. Zorina et al. / Physical Review Applied, 2025.
Эти кремниевые наноцилиндры работают как резонаторы, захватывая свет и многократно усиливая его взаимодействие с магнитной пленкой. Благодаря этому даже слабые собственные магнитооптические эффекты пленки многократно возрастают на определенных резонансных длинах волн.
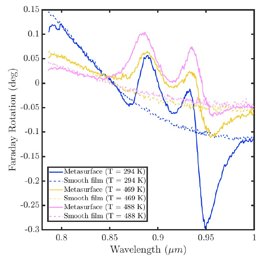
Ключевое открытие ученые сделали, начав нагревать созданный образец. Оказалось, что даже небольшое изменение температуры кардинально меняет поведение метаповерхности. В ходе эксперимента, нагревая структуру от комнатной температуры (294 К, или 21°C) до 488 К (215°C), физики наблюдали поразительный эффект. На длине волны света 945 нанометров при комнатной температуре поляризация поворачивалась в одну сторону (условно, «влево» на -0.3 градуса). Однако по мере нагрева угол поворота сначала уменьшался до нуля, а затем начинал расти в противоположном направлении, достигая положительного значения (+0.1 градуса) при максимальной температуре. Таким образом, ученые впервые продемонстрировали возможность полного обращения знака эффекта Фарадея с помощью внешнего управления.

Рисунок 2. Ключевой результат: управление знаком вращения поляризации. На графике показана зависимость угла поворота поляризации света от его длины волны при разных температурах. Видно, как на длине волны около 945 нм при комнатной температуре (294 К, синяя пунктирная линия) поворот отрицательный. При нагреве до 488 К (розовая сплошная линия) он пересекает нулевую отметку и становится положительным. Это и есть эффект инверсии знака вращения. Источник: P.V. Zorina et al. / Physical Review Applied, 2025.
Полина Зорина, аспирантка МФТИ, научный сотрудник Российского квантового центра, прокомментировала: «Обычно, когда мы создаем метаповерхность, ее свойства, включая магнитооптический отклик, заданы раз и навсегда геометрией наноструктур. Нам удалось «оживить» метаповерхность, сделав ее управляемой . Нагрев немного меняет оптические свойства кремния и граната, но из-за резонансной природы нашей структуры даже эти малые изменения приводят к гигантскому сдвигу в магнитооптическом отклике. Самое поразительное — мы смогли не просто «приглушить» или «усилить» эффект, а полностью инвертировать его знак, что ранее было невозможно сделать в динамическом режиме. Это открытие — не просто красивая физика, оно имеет огромное прикладное значение. Мы продемонстрировали, что можно управлять светом с помощью другого луча света, который просто нагревает нужный участок. Это основа для полностью оптических переключателей и модуляторов. Кроме того, такая чрезвычайная чувствительность к температуре делает нашу метаповерхность идеальной платформой для создания миниатюрных, сверхточных сенсоров, способных улавливать тысячные доли градуса».
Новизна работы заключается не только в самом факте управления, но и в способе его реализации. Поскольку нагрев можно осуществлять с помощью сфокусированного лазерного луча, появляется возможность локально изменять свойства метаповерхности в областях размером в единицы микрометров.

Рисунок 3. Полностью оптическое управление светом. График демонстрирует, как можно управлять углом поворота поляризации сигнального лазера (ось Y) с помощью мощности другого, управляющего лазера, который нагревает метаповерхность (нижняя ось X). При достижении пороговой мощности происходит переключение знака вращения. Верхняя ось показывает аналогичный эффект самомодуляции, когда мощный сигнальный лазер сам себя нагревает и меняет собственную поляризацию. Источник: P.V. Zorina et al. / Physical Review Applied, 2025.
Сфокусированный лазерный луч позволяет создавать на одном и том же чипе сложные пространственные «узоры» из областей с разным магнитооптическим откликом, которые можно перерисовывать в реальном времени.
Практические применения предложенной метаповерхности многообразны. Помимо создания полностью оптических транзисторов, где один «управляющий» лазер меняет поляризацию другого, «сигнального», возможен и эффект самомодуляции. Достаточно мощный лазерный импульс может сам нагреть материал при прохождении через него и, таким образом, изменить свою собственную поляризацию. Кроме того, разработанная структура является высокочувствительным сенсором. Ее резонансы чувствительны не только к температуре, но и к показателю преломления окружающей среды, что позволяет детектировать присутствие мельчайших концентраций различных веществ в газе или жидкости. В будущем подобные управляемые метаповерхности могут стать ключевыми элементами для систем оптической обработки информации, лидаров и биосенсорных чипов.
Научная статья: P.V. Zorina, D.O. Ignatyeva, S. Xia, P.E. Zimnyakova, L. Bi, and V.I. Belotelov, Thermally controlled magneto-optical metasurface for tunable Faraday rotation, Phys. Rev. Applied 24, 034056 (2025). DOI: https://doi.org/10.1103/f6cr-tfld.
