
Иллюстрация. «Квазидвумерное золото». Пресс-служба МФТИ
[columns size=»2/3″ last=»false»]Исследователи из Центра фотоники и двумерных материалов МФТИ на примере золота продемонстрировали, как можно получить квазидвумерные материалы из не относящихся к классу двумерных. Квазидвумерное золото может быть осаждено на любую поверхность, если в качестве интерфейса использовать однослойный дисульфид молибдена. В статье, опубликованной в журнале Advanced Material Interfaces, ученые отмечают превосходную электропроводность ультратонких пленок золота толщиной всего лишь в единицы нанометров и предлагают использовать их для гибкой и прозрачной электроники. Двумерные металлы приближают нас и к появлению нового класса оптических метаматериалов, уникальный потенциал которых в управлении светом поможет создать самые неожиданные технологии, например, сделает реальностью мантию-невидимку Гарри Поттера.
Открытие графена — первого двумерного материала, представляющего собой единичную плоскость графита толщиной в один атом углерода, а также последующее изучение его удивительных свойств ознаменовало появление новых областей исследований в науке и технике и даже нового мира материалов. В 2010 году наши соотечественники, выпускники МФТИ Андрей Гейм и Константин Новосёлов были удостоены Нобелевской премии по физике за передовые исследования графена. В настоящее время известно уже более сотни двумерных материалов, обладающих интересными свойствами, благодаря которым им находят применение в самых разных сферах от биомедицины до электроники и аэрокосмоса. Все известные двумерные материалы принадлежат к классу слоистых кристаллов, для которых характерна слабая связь между слоями и сильная — внутри слоя. Отделить такой слой не так трудно, например, графен от графита отделили с помощью скотча. Однако есть множество неслоистых материалов, и возникает задача получения двумерных слоев из этих материалов. Например, для различных приложений оптоэлектронике требуются прозрачные и проводящие электроды. Двумерные слои золота, серебра или меди могли бы стать незаменимыми для гибкой и прозрачной электроники (складывающиеся дисплеи, электронная бумага и одежда, линзы со встроенной электроникой и др.), однако они не относятся к классу слоистых, и до настоящего времени отсутствовали технологии получения таких ультратонких металлических пленок на произвольных поверхностях. Сверхтонкие металлические электроды способны стать технологической основой и для высокоэффективных нейроинтерфейсов, которые могут не только решить ряд медицинских проблем, но и приблизить нас к непосредственной интеграции нервной системы живых организмов с электронными устройствами.
Металлическую пленку отслаиванием с помощью скотча не получить, но ее можно осадить с помощью термического испарения объемного металла в высоком вакууме. Испаряемый металл осаждается на подложку, атомы металла собираются на поверхности в наночастицы, эти частицы при дальнейшем осаждении металла растут, между ними появляются соединения, получается пленка с пустотами, которые в дальнейшем заполняются. Достаточно однородные пленки высокопроводящих металлов удается получать на толщинах около 20 нанометров, но их нельзя считать прозрачными. Пленки меньшей толщины из-за наличия неоднородностей и пустот характеризуются малой проводимостью, то есть теряются металлические свойства. Это можно объяснить на примере металлической сетки, которая хуже проводит электрический ток по сравнению со сплошным металлическим листом. Перед учеными стоит задача добиться высокой проводимости металлических пленок на толщинах менее 10 нанометров. Для примера на рисунке 2 продемонстрирована поверхность металлической пленки, осажденной на обычную кремниевую подложку. Видно, что при толщине 9 нм в пленке еще есть заметные пустоты.
Ученые из Московского физико-технического института начали свою работу с гипотезы о том, что двумерные металлы можно получить на поверхности других двумерных материалов. Первым делом попробовали графен, но оказалось, что он почти не смачивается металлом и при определенных условиях приводит к нехарактерному для металлов росту — практически в виде столбов. При таком механизме наночастицы растут вверх, а пустоты между ними заполняются металлом с большим трудом. Металлические пленки на графене интересны для ряда приложений, например, для поверхностно усиленной рамановской спектроскопии, но они не проводят электрический ток на малых толщинах. В дальнейших исследованиях рассматривалась кинетика роста металлов на двумерных дихалькогенидах переходных металлов и, в частности, на двумерном дисульфиде молибдена. Известно, что золото очень плохо взаимодействует практически со всеми веществами, но с соединениями серы оно может образовывать прочные химические связи.
О ходе работы рассказал Юрий Стебунов, один из основных ее авторов: «Эта идея назрела у нас давно, но технологии работы с двумерными материалами только развиваются, не все они широко доступны. Для этой работы требовались значительные ресурсы — как людские, так и материальные. В рамках президентской программы под этот проект удалось выиграть грант, и благодаря ему мы реализовали наши идеи на практике».
[/columns]

Рисунок 1. Иллюстрация метода: кремниевая подложка и монослой дисульфида молибдена, на который осаждается золото. Пресс-служба МФТИ
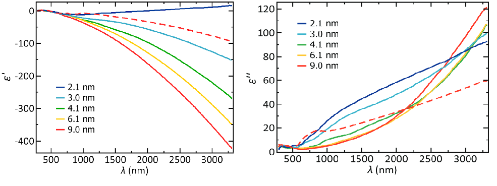
[columns size=»2/3″ last=»false»]Так, на кремниевую подложку со слоем диоксида кремния SiO₂ и монослоем дисульфида молибдена MoS₂ с помощью термического испарения в высоком вакууме осаждались тонкие слои золота (рисунок 1). По изображениям электронной и атомно-силовой микроскопии ученые сравнили структуру золотых пленок разной толщины, выращенных на чистой поверхности SiO₂ и поверхности SiO₂, с монослоем MoS₂ (рисунок 2). Наличие одного слоя двумерного материала позволило получить сплошные пленки золота с характерной для металлов электрической проводимостью на толщинах всего 3–4 нанометра. Этим пленкам по своим характеристикам уступают значительно более толстые пленки золота, полученные без использования интерфейса из двумерного материала. Поскольку одним из ключевых применений таких металлических слоев является фотоника и оптоэлектроника, ученые детально изучили их оптические свойства с помощью спектральной эллипсометрии и впервые представили миру значения оптических констант для таких ультратонких пленок золота.[/columns]

Рисунок 2. Электронная микроскопия золотых пленок разной толщины. Сверху — пленка на подложке из дисульфида молибдена (MoS2), снизу — пленка на кремниевой подложке со слоем диоксида кремния (SiO2). Предоставлено авторами исследования

Рисунок 3. Оптические свойства золотых пленок на монослое MoS2. Пунктирной линией обозначены свойства пленки толщиной 9 нм на чистой подложке SiO2. Отрицательное значение ε’ свидетельствует о проявлении металлической проводимости, а значение ε’’ определяет оптические потери подобно сопротивлению в электронике. Предоставлено авторами исследования
[columns size=»2/3″ last=»false»]
Валентин Волков, руководитель лаборатории нанооптики и плазмоники МФТИ, один из соавторов работы, добавляет: «Любой исследователь может взять наши данные и использовать их для моделирования фотонных или оптоэлектронных устройств и даже искусственных материалов, так называемых метаматериалов. В сочетании с предложенной нами технологией такие материалы и устройства могут быть реализованы на практике».
Добавление всего одного слоя дисульфида молибдена позволило получить рекордно тонкие и гладкие металлические пленки. Ученые подчеркивают универсальность метода: на любую поверхность независимо от ее свойств можно нанести монослой дисульфида молибдена и получить ультратонкую и ультрагладкую пленку металла. Предполагается, что такие квазидвумерные слои металлов будут интегрированы в многослойные «бутерброды» из различных двумерных материалов, которые имеют название ван-дер-ваальсовых гетероструктур. Комбинируя разные монослои, можно получать новые материалы с неожиданными свойствами. Среди возможных «ингредиентов» есть полупроводники, диэлектрики, полуметаллы, а теперь к ним добавлены и металлы.
Алексей Арсенин, директор Центра фотоники и двумерных материалов МФТИ, один из соавторов работы, заключает:«Мы ожидаем, что в области квазидвумерных металлов все только начинается. Еще вчера они были недоступны даже для ученых. Сегодня можно говорить о больших перспективах предложенной нами технологии для гибкой и прозрачной электроники. Хотелось бы завтра увидеть ее в производстве, и мы над этим работаем».
Исследование поддержано грантом Российского научного фонда.
Ссылка на оригинальную статью: D.I. Yakubovsky, Y.V. Stebunov, R.V. Kirtaev, G.A. Ermolaev, M.S. Mironov, S.M. Novikov, A.V. Arsenin, V.S. Volkov, Ultrathin and ultrasmooth gold films on monolayer MoS2, Advanced Materials Interfaces doi: 10.1002/admi.201900196 (2019).
[/columns]
