Ученые из МФТИ и их коллеги разработали новый метод сканирующей микроскопии, который позволяет с нанометровым разрешением визуализировать распределение пиннингового потенциала в сверхпроводящих пленках. Этот метод, названный Scanning Quantum Vortex Microscopy (SQVM), открывает новые возможности для изучения дефектов в сверхпроводниках и наноустройствах, что может привести к улучшению характеристик сверхпроводящих материалов и устройств. Работа опубликована в Communications Materials. Исследования были проведены при поддержке Российского научного фонда (проект № 23-72-30004).
История изучения сверхпроводимости началась в 1911 году, когда нидерландский физик Хейке Камерлинг-Оннес обнаружил, что ртуть при температуре ниже 4,2 К теряет электрическое сопротивление. Это открытие положило начало новому направлению в физике. В последующие десятилетия ученые пытались объяснить природу сверхпроводимости. В 1950-х годах Лев Горьков и Алексей Абрикосов разработали теорию сверхпроводимости второго рода. Согласно их работам, в некоторых сверхпроводниках при определенных магнитных полях могут образовываться особые вихревые структуры — магнитные потоки, окруженные сверхпроводящей средой. Эти вихри получили название «вихри Абрикосова».
Абрикосов в 2003 году был удостоен Нобелевской премии за предсказание существования этих вихрей. Это выдающееся открытие советского ученого оказало огромное влияние на развитие физики твердого тела и позволило объяснить поведение сверхпроводников при высоких магнитных полях.
Для детального изучения вихревых структур требовались новые методы визуализации. В 1980–1990-х годах появились сканирующая туннельная микроскопия и магнитная силовая микроскопия, которые позволили наблюдать вихри в реальном времени.
Сканирующая вихревая микроскопия, разработанная в рамках недавнего исследования, представляет собой дальнейший шаг в этой области. Этот метод позволяет не только видеть вихри, но и манипулировать ими, исследуя локальные сверхпроводящие свойства с нанометровым разрешением.
Авторы исследования изучили пространственную и температурную эволюцию пиннинга вихрей в ниобиевых пленках, осажденных методом магнетронного распыления с толщиной 50–240 нм. Эти пленки широко используются в сверхпроводниковой электронике и квантовых технологиях. Новый метод микроскопии использует магнитный кантилевер микроскопа для создания, притяжения и перемещения одиночного квантового вихря в сверхпроводящей пленке. Взаимодействие вихря с дефектами в образце позволяет визуализировать распределение пиннингового потенциала.
В эксперименте магнитный наконечник сканирующего микроскопа создает вихрь, который тут же притягивается к нему, словно миниатюрный магнит к железу. Затем этот вихрь начинает «прыгать» между областями, где он застревает, что фиксируется через изменение сил взаимодействия между вихрем и кантилевером микроскопа. В итоге ученые получили детализированные карты распределения вихрей — своего рода «рельефную карту» сверхпроводниковой пленки.
Метод позволяет достичь разрешения около 20 нм, что значительно превосходит ожидаемые ограничения, связанные с магнитным взаимодействием вихря с кантилевером.
Исследователи изучили пленки ниобия толщиной от 50 до 240 нм, широко используемые в сверхпроводящей электронике. Было показано, что пиннинговый потенциал связан с гранулярной структурой пленок и границами зерен.
Пленки напылили на кремниевую подложку с помощью магнетронного распыления — метода, при котором атомы металла буквально выбиваются с поверхности мишени и оседают на подложке. В результате получилась пленка с зернистой структурой: вытянутые нанозерна размером 30–50 нанометров в длину и около 5 нанометров в ширину. Эти зерна группируются в более крупные кластеры, разделенные крошечными пустотами.

Рисунок 1. Изображение пленки толщиной 100 нм, полученное атомным силовым микроскопом (рисунок a), магнитным силовым микроскопом (рисунок b) и с помощью метода сканирующей вихревой микроскопии (рисунок c). Черная шкала соответствует длине 1 мкм. Источник: Communications Materials.
Чтобы создать квантовый нанозонд, образец охлаждали ниже критической температуры (~9 К), используя криогенный магнитный силовой микроскоп. Во время охлаждения его магнитный наконечник (из Co/Cr) висел на высоте ~2 мкм над пленкой. В результате в сверхпроводнике формировались одиночные квантовые вихри Абрикосова. При температуре 4,03 К вихрь оказывается зафиксированным вблизи левого края изображения. Он проявляется как темное пятно на карте магнитного силового микроскопа, потому что притягивается к кантилеверу. Но если немного поднять температуру (до 8,49 К), вихрь исчезает, а вместо него возникает загадочный узор в виде «рыбьей кожи» — сеть темных границ, где фиксируется сильное притягивающее взаимодействие. Это говорит о том, что вихрь больше не привязан к дефекту и может свободно двигаться по всему материалу образца.

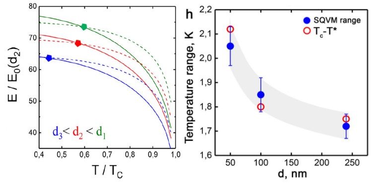
Рисунок 2. В левой части рисунка нарисован эскиз всего эксперимента. Вихревые токи (серые пунктирные стрелки) циркулируют вокруг ядра вихря (черный цилиндр), запиннингованного на дефекте (темно-серый). Вихревые токи создают неоднородное магнитное поле Hvortex, взаимодействующее (сила F) с магнитным моментом Mtip колеблющегося кантилевера магнитно-силового микроскопа (зеленый). Во время сканирования несоосность между вихрем и кантилевером приводит к возникновению силы сопротивления Fdrag, которая стремится открепить вихрь от дефекта. Когда сила сопротивления превышает силу сопротивления пиннинга, вихрь следует за кантилевером магнитно-силового микроскопа и «тянет» за собой сеть пиннингов. В правой части рисунка изображено пространственное изменение нормализованной свободной энергии как функции положения вихря, рассчитанное для T = 0,4 Tc. Вершина кантилевера расположена в точке А, а линейный дефект в B. f температурная зависимость нормированной свободной энергии для вихря, расположенного под кантилевером в A (сплошные линии) и дефекта в B (штриховые линии). Источник: Communications Materials.Перемещая вихрь, исследователи построили детализированные фазовые карты.
Ученые разработали теоретическую модель, объясняющую наблюдаемые эффекты и связывающую разрешение метода с длиной когерентности сверхпроводника.

Рисунок 3. Зависящая от толщины сеть пиннинга вихрей в пленках Nb. В верхней части рисунка (a, b,c) показаны изображения одного квадратного микрометра, полученные атомным силовым микроскопом при комнатной температуре, пленок Nb толщиной 240 нм, 100 нм и 50 нм соответственно. Черные полосы соответствуют длине 200 нм. Как размер зерна, так и видимая шероховатость поверхности увеличиваются с толщиной пленки. В нижней части рисунка (e, f, g) показаны изображения, полученные сканирующей вихревой микроскопией тех же самых пленок. Оранжевые полосы соответствуют длине 1 мкм. На всех пленках видна «рыбья кожа». Источник: Communications Materials.Температурный порог, при котором вихрь отрывается, зависит от толщины пленки — это подтвердили как эксперименты, так и компьютерное моделирование.

Рисунок 4. Температурная зависимость нормированной свободной энергии для вихря, расположенного под кантилевером в A (сплошные линии) и дефекта в B (штриховые линии). Синяя, красная и зеленая кривые соответствуют образцам толщины d = 50, 100 и 240 нм соответственно. Температура перехода T*, отмеченная пятиугольниками, зависит от толщины пленки и зависящей от этой толщины глубины магнитного проникновения λd. В правой части рисунка синие круги изображают зависимость температурного диапазона сканирующей вихревой микроскопии от толщины пленки. Красные окружности соответствуют расчетным значениям разницы Tc−T* между критической температурой сверхпроводника и температурного порога, при котором отрывается вихрь. Погрешности ±0,05 К показывают экспериментально определенную температурную неопределенность температуры порога T*, возникающую из-за неоднородности сети центров пиннинга вихрей. Источник: Communications Materials.
«Мы впервые смогли увидеть, как вихри взаимодействуют с дефектами в сверхпроводящих пленках на нанометровом уровне. Это открывает новые горизонты для разработки более эффективных сверхпроводящих материалов и устройств», — рассказал директор Центра перспективных методов мезофизики и нанотехнологий МФТИ Василий Столяров.
«Наш метод позволяет не только визуализировать дефекты, но и изучать их влияние на сверхпроводящие свойства. Это важно для создания новых квантовых устройств», — добавляет Дмитрий Родичев, профессор ESPCI Paris.
Сверхпроводящие материалы играют ключевую роль в современных технологиях, включая квантовые вычисления, магнитно-резонансную томографию и ускорители частиц. Однако их свойства сильно зависят от дефектов, которые могут как улучшать, так и ухудшать характеристики материала. Новый метод SQVM позволяет не только визуализировать эти дефекты, но и изучать их влияние на пиннинг вихрей, что открывает новые возможности для оптимизации сверхпроводящих устройств.
_______________________
В работе принимали участие ученые из Центра перспективных методов мезофизики и нанотехнологий МФТИ, МИСиС, Института физики твердого тела РАН, Института физики микроструктур РАН, Университета Лобачевского (Нижний Новгород), Всероссийского НИИ автоматики имени Н. Л. Духова, ESPCI Paris Sorbonne University.
