Ученые МФТИ и Крымской астрофизической обсерватории провели масштабный анализ изменений геометрии джетов, что позволило не только выделить наиболее вероятные механизмы переменности, но и получить численные оценки на основные параметры активных ядер. Анализ использовал наблюдательные данные за последние 30 лет и охватывал 317 активных ядер. По результатам исследований ученые обнаружили значительные вариации в направлении джета у четверти из них. Результат работы опубликован в журнале Monthly Notices of the Royal Astronomical Society. Работа выполнена при поддержке РНФ № 20-72-10078.
Релятивистские джеты — струи высокоэнергетичной электронно-позитронной плазмы, вырывающейся из активных ядер галактик. Являются одними из самых мощных объектов во Вселенной и простираются на многие тысячи световых лет. Джеты генерируют излучение практически во всем диапазоне электромагнитного спектра, а материя в них движется со скоростью, близкой к скорости света.
Масштабные систематические наблюдения имеют решающее значение для понимания физического устройства джетов. В ходе исследования российские ученые установили, что видимые изменения в направлении джета активных ядер более вероятно вызваны вращением сопла струи, а не движением отдельных ярких компонент, распространяющихся перпендикулярно струе. По оценке ученых, для 90 % активных ядер галактик в выборке потенциальные периоды переменности направления джета составляют менее 1000 лет. Такое ограничение сверху на временные масштабы переменности дает понимание о возможных механизмах изменения направления струи. Так, наиболее вероятными сценариями возникновения переменности являются плазменные нестабильности в джете, прецессия, вызванная наклоненным аккреционным диском к оси вращения черной дыры или влиянием второй черной дыры в тесных двойных системах.
«В рамках исследования мы рассматриваем более трех сотен активных ядер галактик. Они представляют большой интерес для ученых. Активными ядрами астрофизики называют сверхмассивные черные дыры, находящиеся в центре галактик и «пересвечивающие» родительскую галактику за счет излучения джета. Сам же джет представляет собой поток релятивистских частиц, вырывающихся из центральной черной дыры в форме струи и излучающих почти во всем диапазоне электромагнитного спектра. На самом деле таких струй две, но они направлены в противоположные друг от друга сторону. Обычно мы видим лишь одну из них — ту, которая направлена к нам. За счет эффекта допплеровского усиления она выглядит для нас ярче. Ее обычно и называют джетом, а ту, что направлена от нас, — контр-джетом.
Наша работа посвящена изучению эволюции направления этих джетов, тому, как изменяется их положение и геометрия на отдельных наблюдениях. Если пытаться представить, как это выглядит с бытовой точки зрения, то в каком-то смысле джет можно сравнить с потоком воды. Направление джета может быть стационарно, а может меняться со временем, например, из-за вращения излучающего сопла. В таком случае джет будет отдаленно похож на воду, вылетающую из садового шланга из-за создаваемой вращением спиралевидной структуры. Именно по характерной скорости вращения джета мы и хотим оценить параметры активного ядра», — рассказал об исследовании Иван Костричкин, сотрудник лаборатории фундаментальных и прикладных исследований релятивистских объектов Вселенной МФТИ.
Ученые анализировали наблюдения в радиодиапазоне с определенными ограничениями: 4 частоты от 2 до 43 гигагерц. Их интересовал вопрос — как ведут себя джеты и есть ли зависимость их поведения от самих активных ядер.
Когда типичные углы обзора джета составляют всего несколько градусов от линии наблюдения, любые небольшие изменения усиливаются и могут проявляться в виде сильных видимых изгибов или временной эволюции видимого направления. Последнее было в центре внимания многих наблюдательных исследований как отдельных квазаров так и выборок из сотен активных ядер галактик. Во всех этих исследованиях была обнаружена заметная временная эволюция направления внутреннего джета.
«Процесс формирования джета в целом везде одинаков. В этом вся прелесть нашей Вселенной, что одно и то же явление имеет место даже у разных объектов. Но остается открытым вопрос: что является причиной видимых изменений геометрии на изображении? Электромагнитное излучение, которое как раз и формирует это изображение, является чуть ли не единственным доступным нам источником информации, поэтому нам бывает трудно установить процесс, ответственный за то или иное физическое явление. В отличие от обычной физики, астрофизики не могут провести прямой эксперимент, вместо этого мы опираемся на наблюдательные данные и их интерпретацию, применяя и обобщая опыт известной нам физики на межзвездные объекты. В нашей работе мы исследовали возможные причины, приводящие к таким видимым проявления. Так, используя только геометрические проявления, мы постарались выяснить ограничения на различные физические параметры черных дыр, например, их массу и характерное время переменности в направлении джета. То есть это попытка по исключительно визуальным проявлением ухватить и выяснить физику, которая находится далеко от нас, внутри космического объекта», — добавил Иван Костричкин.

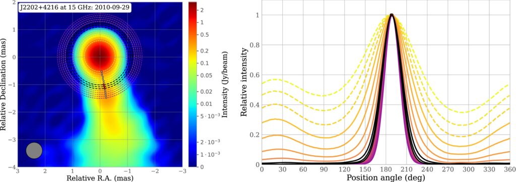
Слева: изображение BL Lac, полученное 29 сентября 2010 года на частоте 15 ГГц. Справа: угловой профиль интенсивности (I/Imax) на соответствующих расстояниях от видимого источника струи на изображении VLBI.
Для работы с наблюдательными данными ученые использовали визуализацию. На левом рисунке, по словам Ивана, показано РСДБ-изображение видимого джета активного ядра. Сам видимый джет начинается с ярко-красной центральной области и направлен вниз. Этот участок является лишь небольшой видимой частью, эволюцию направления которого и изучают ученые. В зависимости от даты изображения источника сама струя может выглядеть иначе и все эти изменения показывают нам эволюцию джетов активных галактик.
