Ученые из Института космических исследований РАН и МФТИ раскрыли химический механизм, объясняющий появление молекул воды на поверхностях астероидов. Подробные результаты теоретического анализа и физико-химического моделирования были представлены на страницах журнала «Вестник Московского университета. Серия 3. Физика. Астрономия».
Астероиды традиционно воспринимались как безводные и стерильные объекты. Однако данные последних десятилетий, полученные как с помощью наземных обсерваторий, так и в ходе космических миссий, заставили ученых пересмотреть эти представления. Оказалось, что даже на богатых силикатами астероидах S-типа присутствует молекулярная вода в концентрациях, сопоставимых с теми, что ранее находили в освещенных Солнцем областях Луны.
Возникает закономерный вопрос: откуда в этом холодном вакууме берется вода? Традиционная гипотеза о том, что она заносится исключительно кометами, не дает полной картины, а попытки объяснить ее синтез прямым воздействием солнечного ветра пока что не дали удовлетворительного результата.
Проблема заключается в том, что поверхность астероида постоянно подвергается «космическому выветриванию». Потоки маленьких метеоритов дробят породу в мелкую пыль — реголит, а жесткое ультрафиолетовое излучение и частицы солнечного ветра, состоящего в основном из протонов, непрерывно атакуют эти песчинки.
Теоретически протон из солнечного ветра может внедриться в кристаллическую решетку силиката, например диоксида кремния, и соединиться с атомом кислорода, образуя гидроксильную группу OH. Но для рождения полноценной молекулы воды требуется второй протон, который должен попасть в ту же самую точку пространства в тот же самый миг. Вероятность такого события в условиях разреженного потока частиц ничтожно мала, что делает классическую схему «прямого синтеза» крайне сомнительной.

Рисунок 1. Сравнение двух гипотез образования воды в космосе. Слева (а) — классический сценарий, требующий практически одновременного попадания двух протонов солнечного ветра в одну и ту же точку реголита, что крайне маловероятно. Справа (б) — механизм, предложенный физиками ИКИ РАН и МФТИ: протон внедряется в область контакта кварца с включением сульфида серебра (темное пятно), что запускает каскад химических реакций. Источник: «ВМУ. Серия 3. Физика. Астрономия»
Ученые из ИКИ РАН и МФТИ решили подойти к задаче с другой стороны, обратив внимание на минеральный состав реголита и опыт изучения лунного грунта. Они сфокусировали внимание на возможности существования промежуточных химических соединений, которые могли бы «копить» водород и облегчать отделение кислорода от прочной кремниевой основы. Ключевым элементом в их модели стал сульфид серебра — минерал, который ранее был обнаружен в образцах, доставленных со станции Луна-24. Хотя серебро считается редким элементом в космосе, его присутствие в виде микромасштабных включений в полевом шпате или кварце может радикально менять локальную химию процесса.

Рисунок 2. Полученное с помощью электронного микроскопа изображение частицы из реголита Моря Кризисов, собранного автоматической станцией «Луна-24». Светлые вкрапления — это частицы сульфида серебра, которые, по мнению ученых, служат катализатором для «сборки» молекул воды на безатмосферных небесных телах. Источник: Богатиков О. А., Горшков А. И., Мохов А. В. и др. // Докл. РАН. 378, №2. 230 (2001)
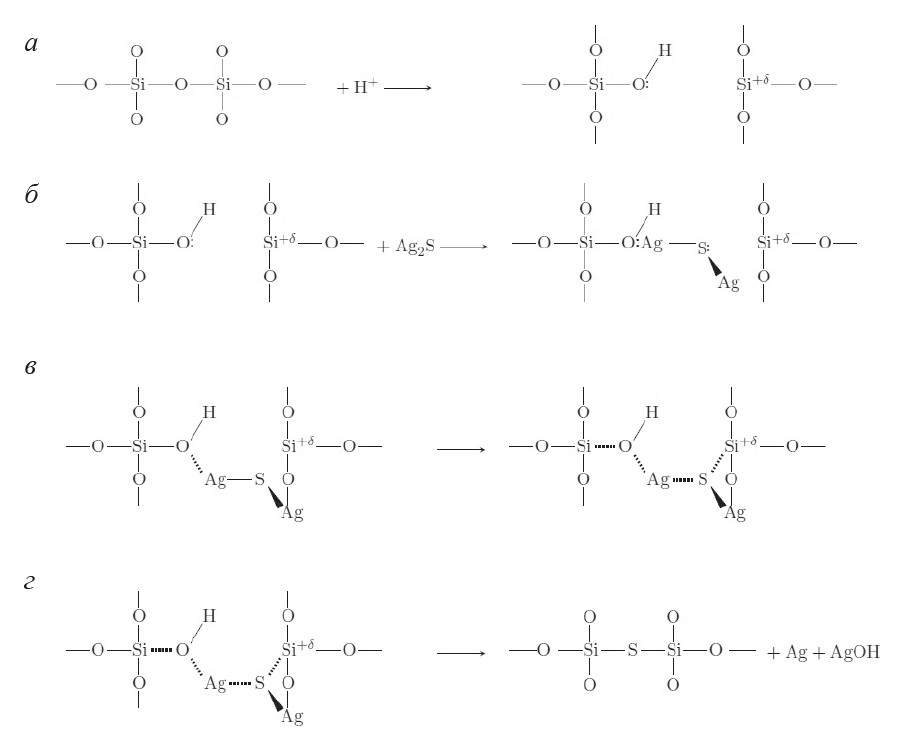
Предложенный механизм состоит из нескольких этапов. Сначала протон солнечного ветра, ударяясь о поверхность астероида, проникает вглубь зерна реголита на глубину около сотни нанометров. Там он разрывает связь между кремнием и кислородом в кварцевой решетке, образуя временную гидроксильную группу. В этот момент в игру вступает сульфид серебра. Благодаря диффузии, которая в условиях постоянного нагрева солнечным светом протекает достаточно быстро, атомы серебра могут перемещаться к месту контакта кварца и сульфида. Серебро обладает уникальным свойством: оно способно «перехватить» гидроксильную группу у кремния, образуя гидроксид серебра.
Юлия Резниченко, ассистент кафедры высшей математики МФТИ, младший научный сотрудник ИКИ РАН, прокомментировала свою работу: «Главное преимущество предложенной нами схемы заключается в том, что она не требует одновременного попадания двух протонов в одну точку, что статистически почти невозможно. Гидроксид серебра оказывается достаточно стабильным промежуточным звеном, своего рода долгоживущим хранилищем. Когда спустя время в ту же область попадает еще один протон солнечного ветра, он легко взаимодействует с этим соединением. Поскольку серебро в электрохимическом ряду активности стоит значительно правее водорода, протон просто вытесняет металл, объединяясь с гидроксильной группой в молекулу воды. На выходе мы получаем чистую воду и частицы самородного серебра, инкорпорированные в грунт».

Рисунок 3. Пошаговая «космическая алхимия»: схема превращения диоксида кремния в воду. Протон (H+) разрывает связь в кристаллической решетке (а), после чего атомы серебра (Ag) помогают «отцепить» кислород и сформировать гидроксид серебра (б-г). На финальной стадии при взаимодействии со вторым протоном образуется молекула воды и высвобождается чистое серебро. Источник: «ВМУ. Серия 3. Физика. Астрономия»
Этот процесс, по мнению исследователей, наиболее эффективно протекает в тонком приповерхностном слое реголита толщиной всего в десятую долю микрона. Именно здесь создаются идеальные условия для контакта минеральных фаз и обстрела протонами. Учитывая постоянное перемешивание грунта из-за ударов микрометеоритов, за геологические периоды значительная часть астероидного вещества проходит через эту «химическую лабораторию». Расчеты показывают, что доля воды, образующейся таким путем, может составлять около миллионной части от массы реголита, что вполне согласуется с данными наблюдений за астероидами S-типа.
Новый подход объясняет, как на поверхности небесного тела может удерживаться вода, которая по всем законам физики должна мгновенно испаряться в вакуум. Молекулы воды оказываются «заперты» внутри кристаллической матрицы или в микроскопических порах между зернами минералов. Они становятся частью структуры реголита, что позволяет им сохраняться даже под палящими лучами Солнца, где температура поверхности может достигать значений, при которых открытый лед неминуемо сублимирует.
Присутствие воды в реголите фундаментально меняет физические свойства астероида и прежде всего его взаимодействие со светом и окружающей плазмой. Когда солнечный свет падает на поверхность, он выбивает электроны, вследствие чего над астероидом формируется облако заряженных частиц, которое называют плазменно-пылевой экзосферой. Наличие воды в грунте меняет энергию (работу выхода электрона), которую нужно затратить, чтобы «оторвать» электрон от поверхности.
Сергей Попель, заведующий лабораторией плазменно-пылевых процессов в космических объектах ИКИ РАН, профессор МФТИ, отметил: «Работа выхода электрона в чистом льде значительно выше, чем у обычного грунта на Луне или астероиде. Это означает, что даже небольшое содержание воды в реголите способно ослабить процессы фотоэффекта и формирования пылевой плазмы над соответствующим участком поверхности. В частности, меняются накопленный электрический заряд поверхности и заряды парящих над ней пылевых частиц, что впрямую влияет на динамику пыли над астероидом. Таким образом, наблюдая за поведением пыли, мы можем косвенно судить о том, насколько «влажным» является грунт небесного тела».
В качестве способа проверки своей теории авторы предлагают объединить два независимых метода исследования. Первый — это оптические наблюдения за пылью вблизи поверхностей астероидов, которые позволяют оценить их электрические параметры. Второй — детектирование потоков нейтронов, проходящих через грунт. Нейтронное зондирование, которое уже успешно применялось на Луне в рамках миссии Lunar Reconnaissance Orbiter, крайне чувствительно к присутствию водорода в составе воды или гидроксильных групп. Совпадение данных обоих методов станет веским доказательством работы «серебряного механизма».
Если вода может синтезироваться на поверхности астероидов под действием солнечного ветра, то это расширяет список потенциально обитаемых миров и меняет наши представления о том, как вода доставлялась на молодую Землю. Ученые планируют детально изучить роль других металлов и их сульфидов в подобных процессах.
Научная статья: Дубинский А. Ю., Попель С. И., Резниченко Ю. С.; К вопросу об образовании воды на астероидах, ВМУ. Серия 3. ФИЗИКА. АСТРОНОМИЯ, 2025, 80(4), 2540801; DOI: https://doi.org/10.55959/MSU0579-9392.80.2540801.
