[columns size=»2/3″ last=»false»]
Группа ученых из России и Китая разработала модель, позволяющую объяснить природу высокоэнергетичных космических лучей в нашей Галактике. Заинтересовавшие астрофизиков космические лучи обладают энергией на два-три порядка выше, чем рожденные при взрывах сверхновых. Основная роль в их модели отведена недавно открытым гигантским структурам — пузырям Ферми. Работа опубликована в журнале EPJ Web of Conferences.
Одной из главных проблем теории происхождения космических лучей (высокоэнергетичных протонов и атомных ядер) является механизм их ускорения. Этот вопрос был решен Виталием Гинзбургом и Сергеем Сыроватским, которые в 60-х годах прошлого века предположили, что космические лучи генерируются взрывами сверхновых звёзд в галактике. Конкретный механизм ускорения заряженных частиц на ударных волнах сверхновых был предложен Гермогеном Крымским и коллегами в 1977 году. Однако в силу ограниченного времени жизни этих ударных волн оцениваемая максимальная энергия ускоренных частиц не могла превышать величины порядка 1014–1015 эВ (электронвольт).
Возникает вопрос о природе частиц с энергиями больше 1015 эВ. Большой прорыв в исследовании развития процессов ускорения таких частиц был связан с открытием космическим гамма-телескопом Ферми в ноябре 2010 года двух гигантских структур в центральной области нашей галактики, испускающих излучение в гамма- и рентгеновском (микроволновом) диапазонах. Обнаруженные структуры симметрично вытянуты перпендикулярно плоскости галактики относительно ее центра и простираются на расстояние в 50 тысяч световых лет, что сопоставимо с диаметром диска Млечного Пути. Эти структуры получили название «пузырей Ферми». Позднее команда телескопа «Планк» обнаружила излучение этих структур в микроволновом диапазоне.
[/columns]

Иллюстрация пузырей рентгеновского/гамма-излучения галактики Млечный Путь (NASA)
[columns size=»2/3″ last=»false»]
Природа Фермиевских пузырей пока еще остается не вполне ясной, однако пространственное положение обнаруженных структур однозначно указывает на их отношение к активности центра нашей Галактики, где, как предполагается, расположена центральная черная дыра с массой 106 солнечных масс. Современные модели связывают существование пузырей Ферми с процессами звёздообразования, а также с выделением гигантской энергии в центре Галактики в результате приливного разрушения звёзд при аккреции на центральную чёрную дыру. Подобные структуры не могут быть свойственны только Млечному Пути и наблюдаются в других галактических системах с активными ядрами.
Дмитрий Чернышёв (выпускник МФТИ), Владимир Догель (сотрудник МФТИ) и их коллеги из Гонконга и Тайваня опубликовали серию статей, посвященных природе «пузырей Ферми». Они показали что гамма- и микроволновое излучение в этих областях обусловлено различными процессами с участием релятивистских электронов, ускоренных ударными волнами, которые образуются при падении звездного вещества на черную дыру. При этом ударные волны должны ускорять и протоны и ядра. Однако, в отличие от электронов, релятивистские протоны, обладающие большей массой, практически не теряют свою энергию в гало и могут заполнять весь объем Галактики. В своей работе авторы предположили, что гигантские ударные фронты Фермиевских пузырей способны дополнительно ускорять протоны, испущенные сверхновыми, до энергий существенно выше 1015 эВ.
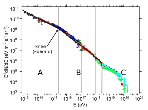
Анализ процессов дополнительного ускорения космических лучей показал, что пузыри Ферми могут отвечать за формирование спектра космических лучей выше уровня «колена» этого спектра, то есть при энергиях, больших 3×1015 эВ (диапазон энергий «B» на рисунке 2). Для сравнения энергия ускоренных протонов в Большом адронном коллайдере также составляет ~1015 эВ.
[/columns]

Спектральная диаграмма космических лучей, детектируемых на Земле (по горизонтальной оси отложена энергия в эВ, по вертикальной — энергетическая яркость в эВ×м-2×с-1×ср-1). Точками представлены наблюдательные данные, сплошной черной линией — спектр, полученный в рамках представленной модели
[columns size=»2/3″ last=»false»]
«Предложенная нами модель позволяет объяснить спектральное распределение наблюдаемого потока космических лучей. Можно сказать, что описанные нами процессы способны дополнительно ускорить галактические космические лучи, рожденные при взрывах сверхновых. Поскольку, в отличие от электронов, протоны имеют существенно большее время жизни, протоны, ускоренные в пузырях Ферми, способны заполнить весь объем Галактики, и, соответственно, могут наблюдаться у Земли. В нашей модели мы предполагаем, что космические лучи, состоящие из высокоэнергетичных протонов и ядер, с энергией, меньшей 1015 эВ (ниже по энергии уровня «колена» наблюдаемого спектра), рождены при взрывах сверхновых, находящихся в диске Галактики. Эти космические лучи доускоряются в пузырях Ферми до энергий, больших 1015 эВ (выше «колена»). Итоговое распределение космических лучей представлено на спектральной диаграмме», — говорит Владимир Догель.
Авторам данной работы удалось дать объяснение особенностям спектра космических лучей в диапазоне энергий от 3×1015 до 1018 эВ (диапазон «B» на рисунке №2). Ими показано, что рожденные при взрывах сверхновых частицы, соответствующие энергиям, меньшим 3×1015 эВ, перемещаясь из диска галактики в галактическое гало, дополнительно ускоряются в пузырях Ферми. Разумные параметры модели, описывающие ускорение частиц в Фермиевских пузырях, позволяют объяснить природу спектра космических лучей выше энергии 3×1015 эВ. При этом спектр ниже этого уровня остается неизменным. Таким образом, полученная модель позволяет получить спектральное распределение космических лучей, полностью соответствующее наблюдаемому.
[/columns]
