[columns size=»2/3″ last=»false»]
Ученые из Института теоретической и прикладной электродинамики РАН, Всероссийского НИИ автоматики им. Н.Л. Духова и МФТИ рассчитали модель оптической системы, в которой большие потери в волноводах компенсируются при помощи малого усиления. Открытый феномен позволяет практически без потерь передавать сигнал, что являлось до сих пор нерешенной проблемой в плазмонных и нанооптических устройствах. А именно их использование должно привести в ближайшем будущем к революционным изменениям в компьютерных технологиях. Исследование опубликовано в журнале Scientific Reports.
Фотоника — это важное направление развития современной науки. По аналогии с электроникой, где сигналы передаются с помощью электронов, в фотонике исследуются сигналы, передающиеся с помощью фотонов, что значительно ускоряет перенос информации, так как фотоны движутся со скоростью света. Ученые во всем мире пытаются создать компьютер на оптоэлектронных элементах (энергоэффективные источники излучения, сверхчувствительные сенсоры и датчики, а также высокопроизводительные оптоэлектронные процессоры).
Оптический волновод — это канал, в котором электромагнитная волна (свет) может распространяться только вдоль определенного направления. Оптоволоконные кабели являются оптическими волноводами и используются уже повсеместно. Они обеспечивают интернет соединение, в том числе и трансконтинентальное. Однако в волноводах на микроэлектронном уровне — в «проводах» микросхем для оптоэлектронного компьютера, в плазмонных и нанооптических устройствах — есть проблема потерь энергии, а значит и потери сигнала, что сильно ограничивает на данный момент их применение.
Учtные решили рассмотреть параметрическое возмущение в системе из двух волноводов. Параметрическое возмущение — это воздействие на систему, при котором изменяются еt параметры, что в свою очередь действует на проходящий в ней сигнал. Например, чтобы раскачаться на качелях мы поднимаем и опускаем ноги, тем самым периодически изменяя параметр системы — расстояние от точки подвеса до нашего центра масс — что увеличивает максимальный угол, на который мы отклоняемся от положения равновесия. Изменяя параметры можно подобрать такое возмущение, чтобы оно действовало на сигнал необходимым образом.
Исследователи взяли один волновод с поглощающей средой, а второй — с усиливающей. Интенсивность электромагнитной волны в такой системе периодически изменяется, то возрастая, то убывая. Это происходит потому, что электромагнитная волна, распространяющаяся по одному из волноводов, взаимодействует с другим волноводом (поле первого волновода отлично от нуля в точке расположения второго волновода и наоборот), что приводит к перетеканию поля из одного волновода в другой. В зависимости от того в каком из волноводов (поглощающем/усиливающем) находится максимум поля, интенсивность волны или убывает, или возрастает. Скорость, с которой происходит перетекание поля между волноводами, зависит от расстояния между волноводами, чем меньше расстояние, тем больше скорость.
Авторы задались вопросом можно ли, периодически изменяя расстояние между волноводами, так «настроить» перетекание поля между ними, что амплитуда электромагнитного поля в обоих волноводах будет возрастать даже в том случае, когда потери в первом волноводе превосходят усиление во втором?
[/columns]

Схематическое изображение системы двух волноводов с периодически изменяющимися параметрами (расстоянием между ними)
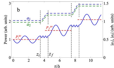
[columns size=»2/3″ last=»false»]Идея состояла в том, чтобы в момент времени, когда интенсивность системы достигает максимума изменить расстояние между волноводами так, чтобы сконцентрировать поле в волноводе с усиливающей средой, что приведет к дальнейшему росту интенсивности сигнала (на рис. №2). Периодически изменяя расстояние между волноводами можно в теории бесконечно увеличивать мощность (рис. №1 и рис. №2).[/columns]

Зависимость интенсивности сигнала (сплошная линия) и амплитуды поля (штриховые линии) в первом и во втором волноводе в зависимости от координаты вдоль волноводов
[columns size=»2/3″ last=»false»]
Расчеты показали, что если настроить параметры волноводов на особую точку, в которой моды волн, распространяющиеся в волноводе, совпадают, то практически любое изменение параметров системы будет приводить к требуемому перераспределению поля.
«Периодически изменяя расстояние между волноводами, действительно возможно «настроить» перетекание энергии между ними так, что электромагнитные поля будут усиливаться при распространении по волноводам даже в том случае, когда потери превосходят усиление», — прокомментировал руководитель исследования, доктор физико-математических наукпрофессор Александр Пухов, ведущий научный сотрудник лаборатории квантовой теории информации МФТИ.
[/columns]
