
[columns size=»2/3″ last=»false»]
Группа российских ученых провела новое теоретическое исследование в области фундаментальной физики сверхпроводимости по изучению свойств p-волновых сверхпроводников (p-wave superconductors). Это особые топологические сверхпроводники, которые обладают рядом специфических свойств, ранее считавшихся физически невозможными. Ученые описали явление формирования спонтанных токов на поверхности этих необычных p-волновых сверхпроводников. Статья опубликована в журнале Superconductor Science and Technology.
В будущем понимание фундаментальной физики p-волновых сверхпроводников может привести к значительному развитию сверхпроводящей электроники. Такие сверхпроводники могут быть эффективно интегрированы в гибридные структуры с ферромагнетиками. Анизотропные свойства необычных сверхпроводников могут послужить для создания принципиально новых элементов электроники, а наличие топологических поверхностных состояний может пригодиться при создании квантового компьютера.
Работа была проведена под руководством заведующего лабораторией топологических квантовых явлений в сверхпроводящих системах МФТИ Александра Голубова и Михаила Куприянова, главного научного сотрудника лаборатории физики наноструктур НИИЯФ МГУ .
Необычная сверхпроводимость
Явление сверхпроводимости проявляется при формировании в веществе новых частиц, переносящих заряд, — куперовских пар. Эти квазичастицы, состоящие из двух притягивающихся друг к другу электронов, обладают целым спином и ведут себя как бозоны. Они образуют сверхтекучую электронную жидкость, в которой заряд может переноситься без сопротивления, а также выталкивается магнитное поле. В большинстве существующих и наиболее распространенных сверхпроводников орбитальный момент пары электронов L = 0, и, в соответствии с правилами квантовой механики, спины электронов в паре противонаправлены, а полный спин также равняется нулю: S=0. Такие традиционные сверхпроводники называются s-волновыми и синглетными по спину.
Существуют, однако, и другие типы сверхпроводимости. Например, в высокотемпературных керамических сверхпроводниках орбитальный момент пары L=2. Такие материалы называются d-волновымисверхпроводниками. Правда, спины электронов в такой системе всё так же противонаправлены, и S=0.
В результате подобные типы сверхпроводимости обладают рядом общих свойств, связанных со спиновой характеристикой куперовской пары. Например, в ферромагнитных материалах, в которых магнетизм стремится упорядочить все спины в одном направлении, куперовские пары быстро разрушаются. Таким образом, создать материал в котором одновременно существовали бы синглетная сверхпроводимость и ферромагнетизм, почти невозможно. Если же привести традиционный сверхпроводник и обычный ферромагнетик в электрический контакт, то куперовские пары проникнут в ферромагнетик на очень короткое расстояние, что существенно ограничивает возможности по созданию эффективных гибридных структур «сверхпроводник — ферромагнетик».
Однако недавно выяснилось, что существует и другой тип сверхпроводимости. Исследования ядерного магнитного резонанса в сверхпроводнике рутенате стронция — Sr2RuO4 — показали, что куперовские пары в нем триплетные, то есть полный спин равен единице S=1, а проекция спина на выделенную ось может принимать три различных значения. В соответствии с принципом Паули, орбитальный момент пар в объеме такого сверхпроводника должен быть нечетным: L=1, 3, 5 … Чтобы установить пространственную симметрию сверхпроводимости в данном материале, потребовались дополнительные исследования. В настоящий момент наиболее вероятно, что рутенат стронция является хиральным px+ipy-волновым сверхпроводником. Это означает, что в сверхпроводнике есть два типа куперовских пар, которые преимущественно движутся в перпендикулярных направлениях x и y, а орбитальный момент каждой пары равен единице L=1. Наиболее интересные эффекты в этих материалах возникают на границе, где изменяется симметрия сверхпроводящего параметра порядка, причем для x и yкомпоненты она изменяется по разному. Например, на поверхности такого материала должен возникать спонтанный ток. Однако в реальности все оказалось не так просто.
В теории все хорошо, а что на практике?
При экспериментальных измерениях рутената стронция теоретически предсказанные спонтанные токи не обнаружили, и это является одним из серьезнейших противоречий между теоретическими представлениями и экспериментом. Теория достаточно явно указывает на наличие токов на границе в связи с изменением симметрии функции спаривания электронов, которая описывает их топологические свойства. Поэтому ученые-теоретики в своем исследовании попытались разобраться, какие эффекты проявили себя в эксперименте и не позволили увидеть искомый спонтанный ток на границах подобных p-волновых сверхпроводников.
Сергей Бакурский, научный сотрудник: «Мы описали процессы формирования спонтанных токов на различных типах поверхностей p-волнового сверхпроводника. В большинстве предыдущих исследований этот эффект исследовался в предположении, что поверхность материала — идеальная. А в реальных экспериментальных образцах на поверхности так или иначе появляются различные шероховатости, которые «портят» весь эффект. Более того, часто, чтобы материал не деградировал, его покрывают какой-нибудь пленкой, например, нормального металла или другого сверхпроводника, что также значительно изменяет свойства границы. В нашей статье мы исследовали, как спонтанные токи на поверхности p-волнового сверхпроводника будут изменяться при покрытии его шероховатой границей или нормальным металлом с разной степенью диффузности».
Граница границе рознь
Толщина пленки на поверхности сравнивалась с двумя величинами — длиной свободного пробега в пленке и длиной когерентности в сверхпроводнике 0 (которая соответствует расстоянию между электронами в куперовской паре). В зависимости от соотношения этих величин и физической толщины пленки, получаются разные профили распределения плотности тока. Если толщина пленки меньше длины когерентности и длины свободного пробега, то это — почти идеальная граница. Если длина свободного пробега очень большая, а длина когерентности маленькая — это чистый нормальный металл. Если наоборот, то это диффузная граница.
Основных результатов было два. Во-первых, было показано, что плотность спонтанного тока действительно уменьшается по мере роста шероховатости, и если покрыть сверхпроводник нормальным металлом, то в металлическом слое спонтанные токи исчезают вовсе, а весь сверхпроводящий ток вталкивается внутрь сверхпроводящего материала, причем его абсолютная величина в десятки раз меньше, чем предполагалось в случае идеальной границы.
Во-вторых, определено, что разным типам границы соответствуют разные профили распределения спонтанного тока: если граница идеальная, то спонтанный ток постепенно нарастает по мере приближения к границе на характерной длине порядка длины когерентности 0.
[/columns]

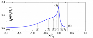
Распределение плотности тока в случае идеальной границы
[columns size=»2/3″ last=»false»]Если граница диффузная, то спонтанный ток возникает гораздо ближе к границе, где-то в масштабе 04. Физическая причина — в случае идеальной границы сверхпроводящий ток переносится электронами, которые движутся под углом к границе около 45 градусов, а в случае диффузной границы основной вклад в сверхпроводящий ток дают электроны, которые движутся почти параллельно границе, и из-за этого серьезным образом изменяется профиль тока.[/columns]

Распределение плотности тока в случае диффузной границы
[columns size=»2/3″ last=»false»]В случае покрытия границы нормальным металлом происходит еще более странная вещь — профиль сверхпроводящего тока, его максимум, вталкивается вглубь сверхпроводника, и если раньше непосредственно на границе была максимальная плотность тока, то теперь на границе тока нет вообще, а максимум внутри.[/columns]

Распределение плотности тока в случае слоя чистого металла на поверхности
[columns size=»2/3″ last=»false»]Если нормальный металл обладает конечной диффузностью, то есть большой концентрацией примесей, то в нем возникают более сложные вещи — появление двух типов электронов, которые дают примерно одинаковый вклад в перенос тока. Один соответствует чистому нормальному металлу с пиком внутри сверхпроводника, а второй — электронам диффузионного типа, движущимся параллельно границе. В результате распределение тока оказывается более сложным, с двумя пиками.[/columns]

Распределение плотности тока в случае «загрязненного» металла на поверхности
[columns size=»2/3″ last=»false»]
Вышеприведенные расчеты демонстрируют существенное уменьшение спонтанных токов на диффузионных поверхностях, что снимает противоречие между теорией и экспериментом.
Топология, технология… а компьютеры-то квантовые когда выпускать будут?
Если удастся экспериментально получить информацию о сверхпроводящих токах и их распределении вдоль границы, то появится возможность использовать новый метод для изучения свойств поверхности. Существующие методы исследования распределения плотности тока должны позволить это измерить, например, метод Muon Spin Rotation, который позволяет посмотреть на картину плотности тока в сечении, перпендикулярном границе. На основе расчетов авторов статьи можно было бы построить таблицу того, насколько шероховатая граница получается для разных материалов, и по плотности тока узнать, какого типа материал находится сверху.
Александр Голубов, заведующий лабораторией топологических квантовых явлений в сверхпроводящих системах МФТИ: «Фундаментальные сведения о поведении p-волновых сверхпроводников предоставляют важную информацию о симметрии функции спаривания частиц, от которой зависят топологические свойства сверхпроводника и проявлением которой на границе являются эффекты в виде спонтанных токов».
[/columns]
