
Дизайнер Дарья Сокол, пресс-служба МФТИ
[columns size=»2/3″ last=»false»]
Сотрудники лаборатории квантовой теории информации МФТИ впервые разработали универсальный инструментарий, позволяющий по результатам измерений над квантовой системой «выучить» неизвестное окружение системы и предсказать динамику квантовой системы под действием внешнего управления. Результаты исследования опубликованы в престижном журнале Physical Review Letters.
Для практической реализации квантовых вычислений требуется решить сложную задачу: эффективно управлять динамикой квантовых битов (кубитов) при наличии внешних шумов. Если бы кубиты были идеально изолированы от окружения, то шумов бы не было, однако и воздействовать на эволюцию кубитов было бы невозможно, а значит, было бы невозможно выполнить ни один протокол обработки квантовой информации. «Открытость» кубитов к контролирующим воздействиям делает их уязвимыми как к шумам управления, так и шумам, вызванным неизбежным взаимодействием с окружающими квантовыми объектами (например, примесями и паразитными модами излучения). Особую опасность представляют шумы немарковского типа, то есть шумы, в которых проявляются «эффекты памяти». Их действие на кубиты зависит от всех предыдущих состояний кубитов, а значит, учесть их или компенсировать их влияние довольно затруднительно. Такие шумы в той или иной степени присутствуют во всех современных прототипах квантовых компьютеров, что делает борьбу с ними особенно актуальной.
Единственный практический способ извлечь информацию о квантовой системе — измерить ее, но здесь в дело вступает фундаментальный закон о невозможности извлечения информации без возмущения квантовой системы. При выполнении измерения над системой происходит «коллапс» волновой функции, в результате чего состояние системы после измерения фактически никак не связано с состоянием до измерения; теория дает предсказание лишь для вероятности обнаружить систему в некотором новом состоянии. Поэтому для «восстановления» состояния квантовой системы проводят много различных измерений, чтобы собрать достаточно статистической информации. Этот статистический метод называется томографией квантовых состояний и требует значительных ресурсов как по проведению эксперимента, так и по обработке собранных данных.
[/columns]

Разрывные линии показывают, что состояние системы испытывает «коллапс» при измерениях. Источник: Physical Review Letters
[columns size=»2/3″ last=»false»]Если же необходимо восстановить динамику квантовой системы во времени, то в стандартном подходе требуется выполнить трудоемкий процесс томографии для всех интересующих моментов времени, что «съедает» колоссальное количество ресурсов эксперимента. Допустим, нам интересно поведение одного кубита, взаимодействующего со сложным окружением. Предположим, что мы нашли много сил и времени, чтобы все-таки томографировать немарковскую динамику кубита во времени. Теперь мы попробуем немного поправить внешнее управляющее воздействие, оказываемое на кубит, чтобы улучшить его работу. Оказывается, что все наши усилия были напрасными! Из-за наличия сильных корреляций между системой и окружением в случае немарковской динамики будет совершенно невозможно предсказать изменение динамики кубита вследствие приложенного внешнего управляющего воздействия. Это печальное обстоятельство заставляет ученых искать другие пути решения проблемы восстановления немарковской квантовой динамики, а также придумывать модели, которые способны учесть изменение внешнего управляющего сигнала.[/columns]

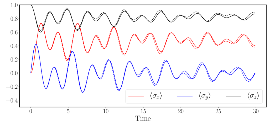
Результат работы нового алгоритма машинного обучения для квантовых систем: сплошная кривая — теория, пунктирная кривая — предсказание алгоритма. Источник: Physical Review Letters
[columns size=»2/3″ last=»false»]Группа ученых из МФТИ пошла по пути разработки нового алгоритма машинного обучения, который был бы применим к задачам квантовой физики и учитывал бы непривычные для классического мира явления вроде невозможности извлечения информации без возмущения квантовой системы. Для этого ими была придумана модель, описывающая результаты последовательных измерений над системой. «Нашей группе впервые удалось разработать новый подход, который не использует повторных приготовлений системы и трудоемких процессов томографии. Дело в том, что хотя результаты последовательных измерений над системой и выглядят случайными, они тем не менее обладают структурой, которую способен распознать предложенный нами алгоритм машинного обучения. В результате работы алгоритм строит эффективную модель окружения, которая допускает включение произвольных управляющих импульсов над системой. Это открывает возможность управления открытыми квантовыми системами, подверженными влиянию немарковских шумов, в том числе кубитами в современных квантовых компьютерах», — говорит Сергей Филиппов, заведующий лабораторией квантовой теории информации.[/columns]

Предложенный учеными алгоритм машинного обучения позволяет правильно учесть влияние управляющего воздействия V на систему S (синие кривые), в то время как стандартный подход на основе томографии процесса не может этого сделать (черные точки). Источник: Physical Review Letters
[columns size=»2/3″ last=»false»]Исследование поддержано грантом Российского фонда фундаментальных исследований.[/columns]
