Ученые из МФТИ исследовали двумерную гравитацию вблизи горизонта событий черной дыры. Они пришли к выводу, что квантовые поля изменяют свойства пространства-времени таким образом, что геометрия становится стабильной. Работа была опубликована в журнале Physical Review D.
Изучение черных дыр с помощью квантовой механики и общей теории относительности имеет длинную историю. Однако только совсем недавно ученые смогли зафиксировать гравитационные волны — волны, которые образуются, когда огромные массы, такие как черные дыры, взаимодействуют друг с другом. Это было сделано в экспериментах LIGO и VIRGO.
Но что еще более впечатляет — ученые стали способны «увидеть» силуэт черной дыры с помощью интерферометра Event Horizon Telescope. Это как если бы у вас была суперспособность заглянуть в темное пространство и обнаружить, какие объекты там находятся. Все эти открытия подтвердили, что в космосе действительно существуют черные дыры, как предсказывала общая теория относительности Альберта Эйнштейна.
Несмотря на эти открытия, есть еще много тайн, связанных с черными дырами. Например, мы мало знаем о квантовых свойствах черных дыр. Проблема в том, что квантовая теория и общая теория относительности не всегда «дружат». Ученые пытаются найти новые пути и идеи, чтобы понять, как эти две теории могут объединиться в одну единую теорию поля.
Пока что при исследовании квантовых эффектов удается рассматривать гравитацию лишь как эффективную теорию, которая работает хорошо на определенных масштабах и при малых перемещениях. Ученые могут использовать методы квантовой теории для изучения поведения гравитационного поля, подобно тому, как они изучают другие физические поля. Но построение более точной теорией по-прежнему остается большой загадкой,.
Отдельный вопрос — исследование того, что происходит вблизи черных дыр. Ряд современных научных работ указывают на то, что возбуждения около горизонта событий черной дыры могут быть успешно описаны моделями двумерной дилатонной гравитации. С одной стороны, есть много оснований полагать, что эти модели правильно описывают горизонт событий, с другой стороны — они достаточно просты для того, чтобы их можно было легко совместить с квантовой теорией.
В работе российских ученых была рассмотрена двумерная черная дыра с двумя разными горизонтами с разной температурой. В подобных задачах часто получаются математические решения, не имеющие физического смысла. Авторы решили рассмотреть самосогласованную задачу: тензор энергии-импульса ими вычислялся для той же самой метрики, которая входит в левую часть уравнений. Это значит, что не просто учитывается взаимодействие квантовых полей и гравитации, но сами квантовые поля рассчитываются с учетом гравитации, а гравитация — с учетом квантовых полей, в единой системе уравнений. У них получилось физически осмысленное решение, в котором температура горизонтов выравнивается: получаются два горизонта с совпадающими температурами.
Для визуализации черных дыр и из горизонтов были использованы диаграммы Пенроуза, в которых вертикальное измерение соответствует времени, горизонтальное — пространству, а под 45 градусов идут линии лучей света.

Рисунок 1. Диаграмма Пенроуза для двумерной черной дыры без учета квантовых полей. Горизонтами, на которых заканчиваются световые лучи, здесь являются диагональные линии ar = 1 и ar = 0. Здесь изображено бесконечное аналитическое продолжение черной дыры. Источник: Physical Review D.
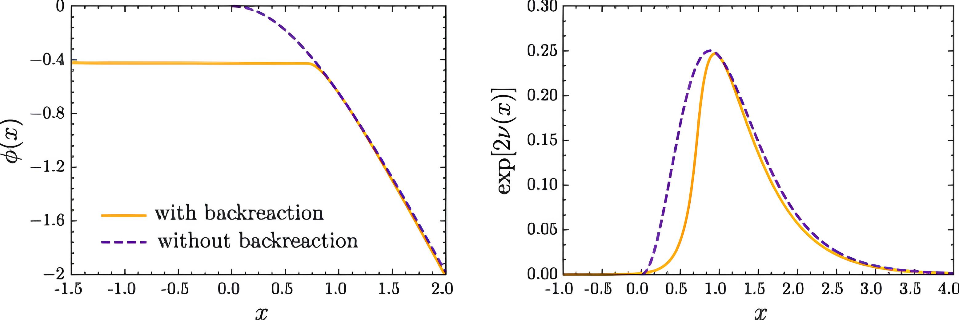
Для расчетом была сделана замена переменной — вместо расстояния r стали рассматривать параметр X, пропорциональный гиперболическому косинусу расстояния, так что значению ar = 0 соответствует предел Х в плюс бесконечности, а значению ar = 1 соответствует Х = 0.
После добавления квантовых полей в гравитационную систему были проделаны 2 расчета: с учетом обратной реакции полей на геометрию и без ее учета. Во втором случае оказалось, что решения определены только при X > 0, а в первом они определены на всей числовой оси, причем два горизонта соответствуют плюс и минус бесконечному значению X, с нулевой температурой на них.

Рисунок 2. Численные расчеты функций поля с учетом обратной реакции на метрику и без ее учета. Источник: Physical Review D.
«Мы получили весьма примечательный результат: учет обратной реакции изменяет геометрию таким образом, что два горизонта имеют одинаковую (исчезающую) температуру», — пояснил Кирилл Базаров, младший научный сотрудник лаборатории теоретической аттосекундной физики МФТИ. — «Следовательно, после введения квантовых полей и учета обратной реакции мы получаем геометрию, которая является стабильной для вакуумного состояния (теплового состояния с исчезающей температурой) квантового поля. Полученное решение может быть использовано для теоретических проверок квантовых теорий гравитации и поиска новых таких теорий».
