Ученые из Российского квантового центра, ВШЭ и МФТИ сделали новое теоретическое исследование незатухающих токов в мезоскопических одномерных системах с парными перескоками фермионов. Работа была опубликована в Physical Review Journals. Данное исследование является важным шагом в понимании влияния парных перескоков на амплитуду незатухающих токов. 25 лет назад физики-экспериментаторы успешно продемонстрировали, что мощные постоянные токи без потерь могут течь в несверхпроводящих металлических кольцах, но не было теории, которая правильно объясняла бы величину или направление неожиданно больших токов.

Рисунок 1. Схематическое изображение постоянного тока в металлическом кольце, пронизанном квантом магнитного потока. Источник Alan Stonebraker
Когда мы прикладываем напряжение к проводу, в нем начинает течь ток. Но этот ток со временем исчезает. Причина в том, что электроны, двигаясь по металлу, сталкиваются с фононами (колебаниями кристаллической решетки) и другими электронами. Происходит неупругое рассеяние электронов. В результате этих неупругих столкновений электроны теряют свою энергию — и ток затухает.
Однако существует интересное исключение. Если металлическое кольцо меньше, чем типичное расстояние, которое электрон проходит до неупругого рассеяния, то в нем можно индуцировать ток, который будет течь вечно. Для этого достаточно пропустить через центр кольца магнитный поток. Электроны в таком кольце сохраняют свою фазовую когерентность и могут совершать бесконечные обороты, поддерживая неугасающий ток. Таким образом, в металлических кольцах меньше длины фазовой когерентности электронов возможно создание вечных токов.
Существование таких постоянных незатухающих токов, по сути, является признаком фазовой когерентности в мезоскопических (промежуточных между макроскопическими и микроскопическими) системах и примером знаменитого эффекта Ааронова — Бома.
Эффект Ааронова — Бома — это квантовомеханический эффект, который показывает, как магнетизм может влиять на поведение частиц на квантовом уровне, даже если они не взаимодействуют с магнитным полем напрямую. Чтобы понять, в чем суть эффекта, представьте, что электроны движутся по замкнутому пути, например по кругу. Если в этом круге мы создаем магнитное поле (например с помощью магнитов), то оно будет влиять на электроны, изменяя их движущиеся характеристики, даже если само магнитное поле находится удаленно от них. Это объясняется тем, что в квантовом механическом описании электроны не просто движутся по траекториям — у них есть свои квантовые свойства, которые зависят от магнетизма.
На более интуитивном уровне можно представить, что электроны «чувствуют» магнитное поле даже в том случае, если оно не «завлекает» их к взаимодействию. Это приводит к тому, что в результате этого «чувствования» электроны изменяют свои фазы, что в итоге приводит к изменению интерференционных картин (функций вероятности), если мы будем изучать результаты их движения.
Эффект Ааронова — Бома демонстрирует, что даже в отсутствие прямого воздействия магнетизм способен вызывать изменения, влияющие на результаты экспериментов. Этот эффект не только интересен с точки зрения теории, но и имеет практическое значение: его принципы могут быть использованы при разработке новых квантовых технологий, включая квантовые компьютеры и системы хранения информации.
В случае незатухающих токов в мезоскопических проводниках волновая функция электронов, пробегающих вокруг магнитного потока, приобретает фазу, пропорциональную заряду электрона и обратно пропорциональную величине этого магнитного потока. Величина этой фазы как раз и определяется эффектом Аааронова — Бома. Но так как волновая функция должна быть непрерывной, то эта фаза не может принимать любые значения, она должна быть кратна двум Пи. Вследствие этого амплитуда тока тоже не может принимать любые значения — она может принимать лишь дискретный набор значений, или, как говорят физики, амплитуда тока квантуется.
Но дело состоит не только в этом. Магнитный поток возмущает энергетические уровни квантовой системы, взаимодействуя с самим проводником. Реакцию энергии основного состояния системы на магнитный поток описывают с помощью параметра, который называется весом Друде.
Чтобы определить, как повысить подвижность частиц (и увеличить вес Друде, соответственно), проводятся исследования разнообразных эффектов. Одной из таких возможностей является использование парных перескоков частиц. Такие члены многочастичных перескоков фермионов характерны для низкоразмерных магнетиков со спином ½.
Российские ученые в своем исследовании рассмотрели, как учет и одиночных, и парных прыжков частиц влияет на вес Друде — параметр, определяющий, насколько подвижны будут электроны. Это, в свою очередь, определяет амплитуду незатухающего тока. Они рассмотрели одномерную цепочку бесспиновых фермионов.

Схема исследуемого эффекта прыжков в одномерной системе. Случай (а) соответствует положительному значению κ, случай (б) — отрицательному. Источник: Physical Review Journals
Всего в предложенной физиками модели три настраиваемых параметра — амплитуда взаимодействия соседей V, размер системы L (количество фермионов — таких частиц, как, например, электроны или атомы с нечетным числом частиц в ядре) и параметр κ, равный отношению количества парных прыжков к количеству одиночных прыжков, имеющий знак «плюс» или «минус» в зависимости от конфигурации прыжков.
Они использовали для расчетов вариационный численный метод, часто применяемый для исследования квантовых систем с низкой температурой — так называемый алгоритм группы перенормировки матрицы плотности (DMRG). Его основная идея заключается в уменьшении количества требуемых переменных путем моделирования квантовой системы с помощью меньшей системы, состоящей из двух блоков и двух промежуточных узлов. Эта меньшая система затем постепенно увеличивается, и решение для следующей системы большего размера получается приближенным способом из решения для предыдущей системы меньшего размера.
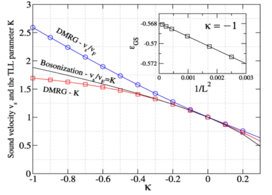
Сравнение реализаций этого метода с математическим методом бозонизации для цепочки из 128 фермионов с разными параметрами их взаимодействия между собой показало сходимость всех трех алгоритмов расчета друг другу и дало оценку ошибки. Также рассчитывали и скорость звука в системе — важный параметр для описания распространения взаимодействий частиц.

Зависимость скорости звука от доли парных прыжков. Источник: Physical Review Journals
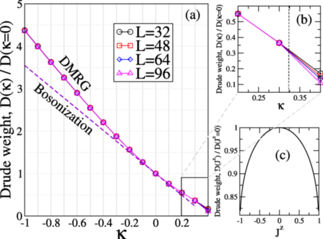
Также ученые сравнили расчеты разными методами для цепочек разного размера.

Зависимость веса Друде от доли парных прыжков. Источник: Physical Review Journals
Зависимость веса Друде от доли парных прыжков. Источник: Physical Review JournalsРезультаты были подтверждены методами бозонизации — математической процедуры, с помощью которой система взаимодействующих фермионов в измерениях может быть преобразована в систему безмассовых бозонов без взаимодействия, что позволяет использовать упрощенные методы расчета.
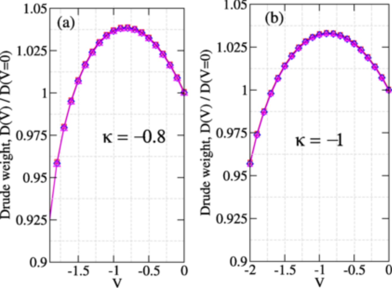
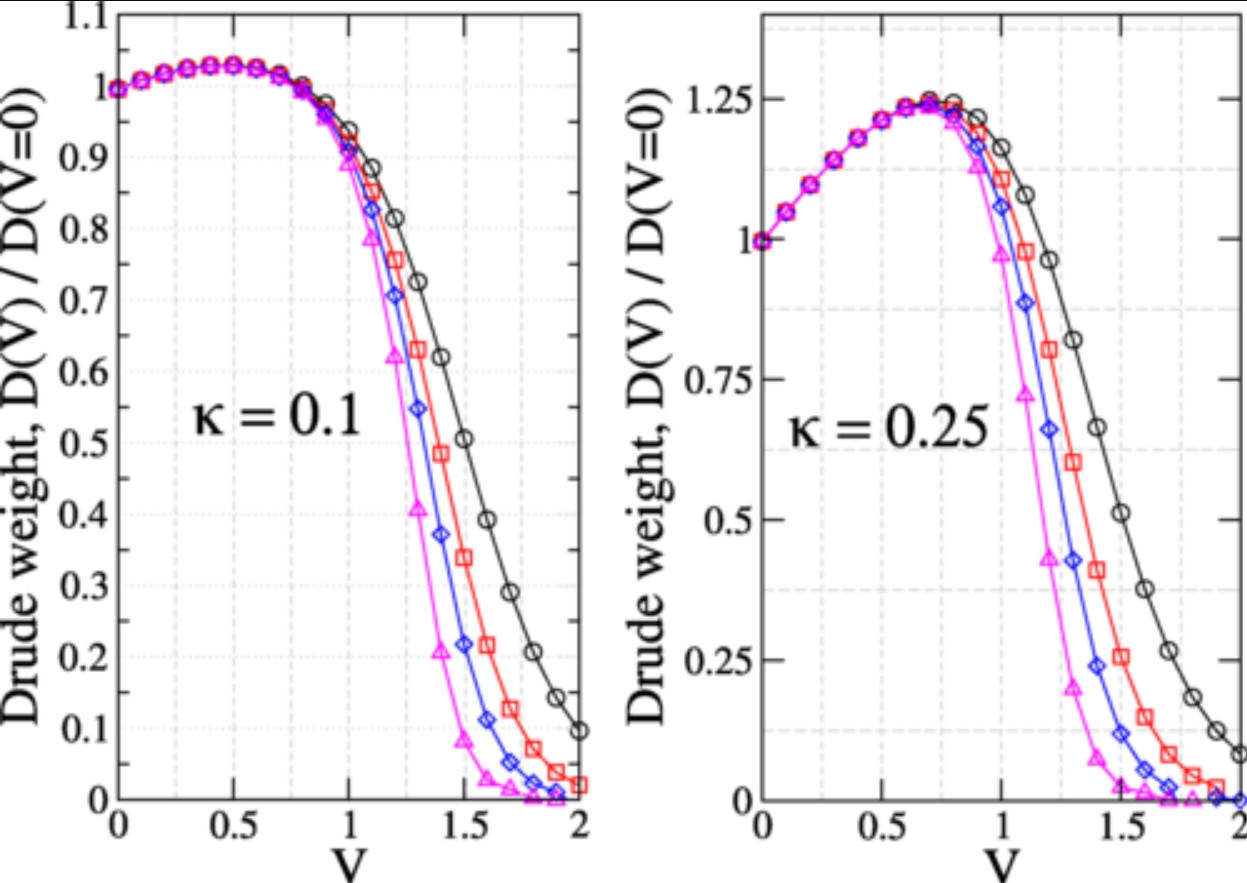
Оказалось, что в отсутствие или при слабом взаимодействии соседей масса Друде монотонно увеличивается с ростом количества парных прыжков. А если увеличивать силу взаимодействия частиц между собой, то сначала масса Друде растет, а потом уменьшается.
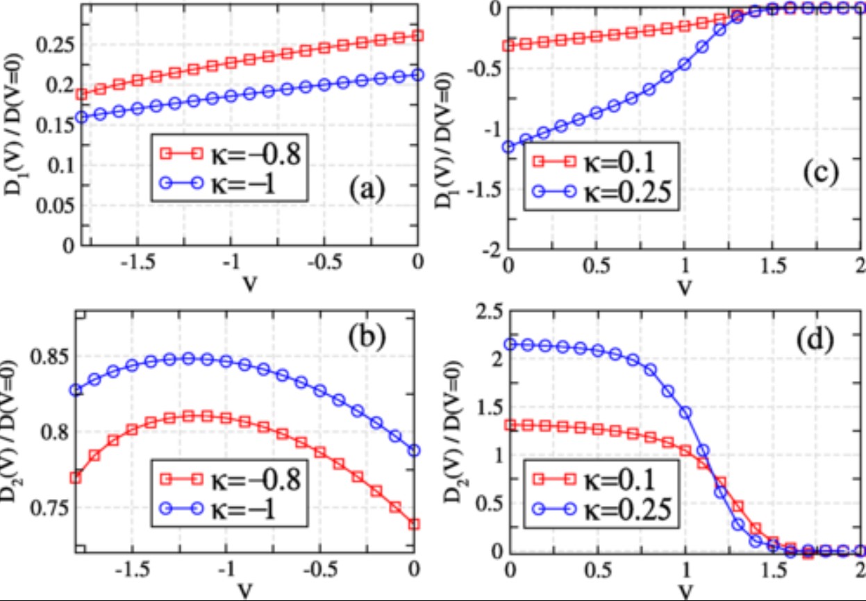
Также ученые рассчитали зависимость массы Друде фермионов от силы взаимодействия между ними при различных длинах цепочек и разных значениях параметра κ.

Зависимость веса Друде от силы взаимодействия при κ < 0. Источник: Physical Review Journals

Зависимость веса Друде от силы взаимодействия при κ > 0. Источник: Physical Review Journals
Для визуализации эффекта также потребовалось сравнить на одном графике кривые с разными значениями параметра κ.

Зависимость веса Друде от силы взаимодействия при разных κ. Источник: Physical Review Journals
Полученные результаты можно применить в интерпретации экспериментальных результатов.
«Известно, что квазиодномерная система спинов со спином ½ описывается эффективно системой фермионов (без спина). Наличие фрустрации в спиновой системе вызывает возникновения парных перескоков в фермионной модели. В этой работе мы исследовали эффекты, которые возникают в присутствии межчастичного взаимодействия и парных перескоков в этих системах. Особое внимание было уделено изучению веса Друде, и было продемонстрировано несколько интересных и неожиданных результатов», — объясняет Мурод Баховадинов, научный сотрудник РКЦ.
Исследование расширяет понимание о влиянии фрустрации и межчастичного взаимодействия на свойства одномерной квантовой системы.
