Ученые из «Технологического института сверхтвердых и новых углеродных материалов», входящего в состав Национального исследовательского центра «Курчатовский институт», и МФТИ использовали эффект Холла, чтобы исследовать фоновые концентрации примесей в синтетическом алмазе, так как они сильно влияют на физические свойства сверхчистых алмазов. Исследователи пришли к выводу, что добавка малого дополнительного количества атомов азота может значительно уменьшать ток утечки в электронных устройствах из синтетического алмаза. Работа была опубликована в Applied Physics Letters.
Научные исследования показывают, что чистый монокристаллический алмаз обладает выдающимися свойствами, которые делают его идеальным материалом для различных электронных, квантовых и детекторных приложений. Даже малейшая концентрация примесей в таком алмазе может значительно повлиять на его оптические или электрические свойства, в частности проводимость. Так, концентрации бора на уровне всего ~0,1 ppb, при условии более низкой концентрации азота, достаточно для появления заметной дырочной электропроводности материала.
Благодаря уникальным физическим свойствам, таким как высокая подвижность носителей заряда (электронов и дырок) и стойкость к радиации, алмаз активно используется для создания детекторов рентгеновских лучей, нейтронов и частиц высокой энергии. Одним из актуальных применений алмазных детекторов является мониторинг пучка сильно ускоренных частиц в ускорителях, например, в Большом адронном коллайдере. Так как такие частицы зачастую являются минимально ионизирующими частицами, от детектора требуется высокая чувствительность и скорость реагирования, что, в свою очередь, требует максимальной чистоты материала.
Традиционно чистоту алмазов контролируют оптическими методами, а именно — спектроскопией поглощения в УФ, видимом и ИК диапазоне, а также спектроскопией комбинационного рассеяния света (КРС). Данные методы позволяют обнаружить различные примеси в алмазе, однако их предел обнаружения в большинстве случаев не лучше, чем 1015 см-3. Исследователи из Троицка и Долгопрудного показали возможность использования ещё более точного метода, основанного на эффекте Холла. Данный эффект заключается в возникновении электрического напряжения в образце, через который протекает электрический ток, в магнитном поле.
В результате удалось установить фоновые концентрации бора и азота на рекордно низком уровне — 0,07 и 0,02 ppb соответственно. Для подтверждения полученных результатов исследователи повторили один и тот же эксперимент по выращиванию и исследованию образцов алмаза три раза и получили идентичные результаты.

Рисунок 1. Параметры изготовленных образцов алмаза. Толщина, положение пиков КРС, характеризующие качество кристаллической решетки алмазаконцентрации акцепторных и донорных примесей, удельное сопротивление материала и Холловская подвижность основных носителей заряда (дырок). Источник: Applied Physics Letters.
Опубликованное исследование также показало, что даже в максимально чистом CVD-алмазе, который по химической чистоте превосходит практически любой природный алмаз, фоновая концентрация бора может оказаться относительно высока. Это обуславливается высокой вероятностью встраивания атомов бора в алмаз в процессе синтеза. Авторы рекомендуют другим исследователям, работающим с высокочистым алмазом, обращать внимание на данный факт.

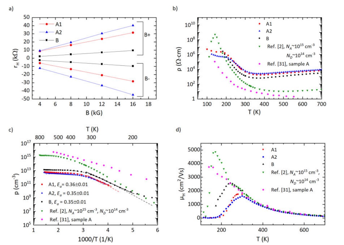
Рисунок 2. (а) Зависимость Холловского сопротивления от магнитного поля при комнатной температуре для всех образцов. Верхние линии соответствуют положительному значению индукции магнитного поля, а нижние — отрицательному. Зависимости свидетельствуют о линейности эффекта Холла по полю. (b) Температурные зависимости удельного сопротивления образцов. (c) Температурные зависимости холловской концентрации свободных носителей (точки) для трех исследованных образцов и их аппроксимация распределением Ферми (штриховые линии). Сплошные линии показывают подгонку линейных участков, соответствующих термической активации свободных носителей. (d) Температурные зависимости Холловской подвижности. Соответствующие данные для сравнения приведены на рисунках (b)–(d). Источник: Applied Physics Letters.
«Измерения эффекта Холла могут быть единственным методом измерения очень низких концентраций примесей бора в искусственном алмазе, — рассказал Дмитрий Приходько, преподаватель кафедры Физика и химия наноструктур МФТИ, сотрудник лаборатории алмазной электроники ТИСНУМ. — Даже такая низкая концентрация, которая не может быть обнаружена оптическими методами, приводит к значительной проводимости алмаза, что делает его малопригодным для изготовления детекторов ионизирующего излучения. Главный вопрос заключается в том, как бор появился в “чистом” CVD-процессе. Мы предполагаем, что бор попадает в плазму из-за слабого травления металлических деталей камеры, поскольку бор является распространенной фоновой примесью в металлах и сплавах».
