Физики смоделировали распространение звука внутри гибридных нейтронных звезд при наличии внутри них кварк-глюонной плазмы. Оказалось, что даже небольшая доля пузырьков кварковой материи может привести к высокой нелинейности звуковой волны. «Результаты моделирования помогут обнаружить кварк-глюонную плазму в естественных условиях», — пишут ученые из МФТИ, Курчатовского института и Физического института им. Лебедева в журнале Physical Review D.
В мире физики есть особое состояние вещества, которое возникает при температурах, превышающих триллионы Кельвин. Это кварк-глюонная плазма — субстанция, которая возникает, когда материя становится настолько горячей, что разрушает даже атомы.
Стандартное представление о нейтронной звезде предполагает наличие четко выделенного ядра, состоящего из кварковой материи, окруженного адронной материей. Недавние исследования показали, что существуют сверхмассивные нейтронные звезды с массой более двух солнечных. Это открывает возможность для существования нового класса звезд — гибридных, в которых кварковая материя может находиться не только в ядре, но и в адронной оболочке.
Изучение таких звёзд поднимает множество вопросов. Например, как распространяется звук внутри гибридных нейтронных звёзд и как ведет себя вещество, которое оказывается неоднородным. Ранее высказывались идеи о том, что такие звезды могут быть либо чисто кварковыми, либо содержать смесь адронной и кварковой материи. Недавние публикации показывают, что скорость звука в таких звёздах может превышать теоретический предел и достигать скорости света.
Исследователи провели расчёты на основе простой модели, где адронное вещество содержит небольшие кварковые «пузырьки». Они предположили, что эти пузырьки имеют радиус порядка 1—5 ферми, что составляет миллионные доли нанометра. Более сложные конфигурации, такие как капли, стержни или трубки, остаются интересной задачей для будущих исследований.
Ученые рассмотрели самую простую модель, не принимая во внимания процессы возникновения, схлопывания или бурного разрастания этих пузырьков. Они предположили, что есть некоторое усредненное состояние, в котором пузырьки кварк-глюонной плазмы ведут себя более-менее стационарно, колеблясь вокруг равновесных значений своих параметров. Для моделирования таких пузырьков использовалось уравнение Релея—Песета, которое включает в себя такие параметры, как динамическая и объёмная вязкость.
Исследователям удалось получить уравнения, описывающие динамику звёзд, в том числе скорость звука. В работе было показано, что скорость звука в этих условиях немного превышает конформный предел, что является важным для развития теории.
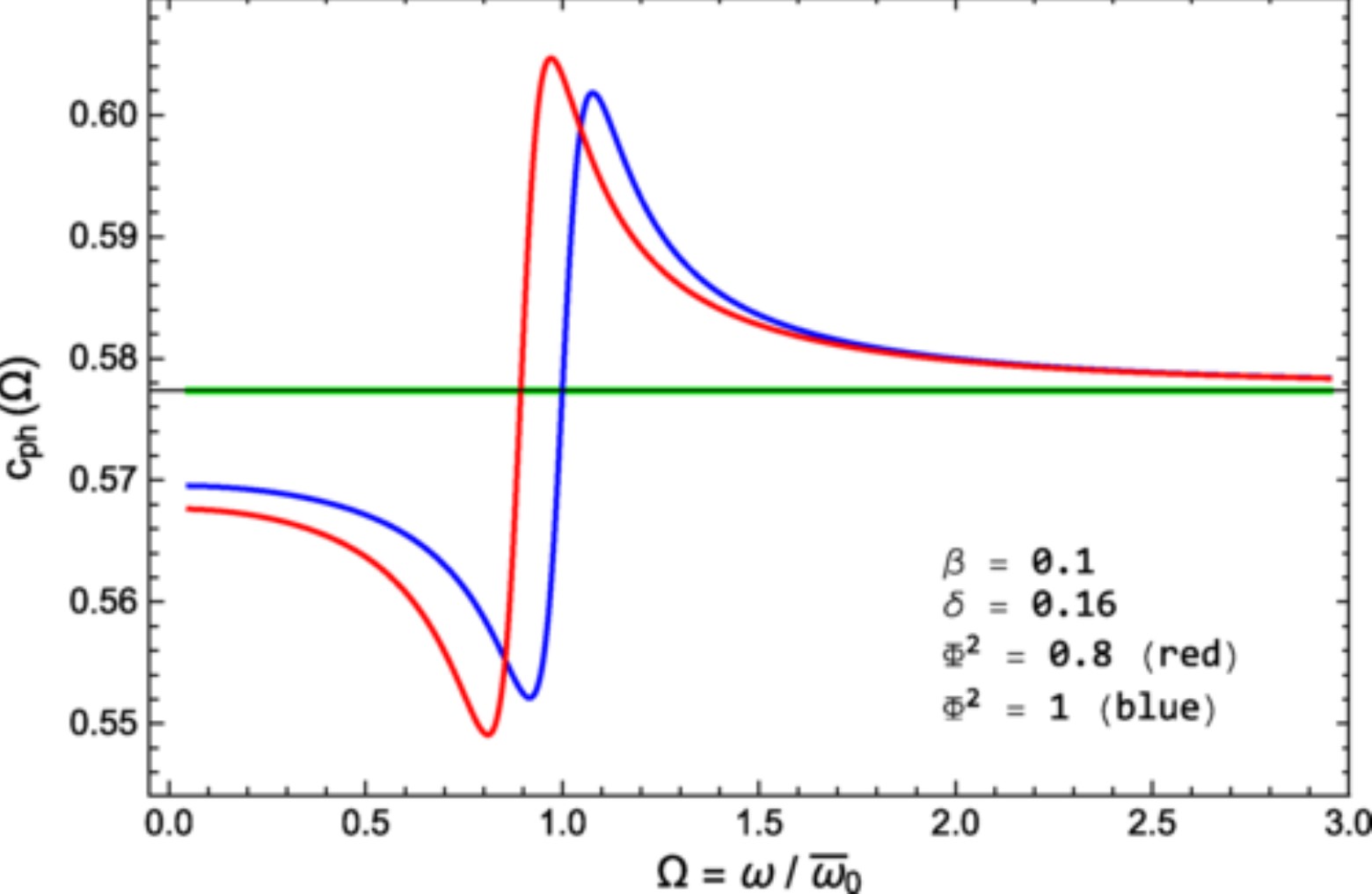
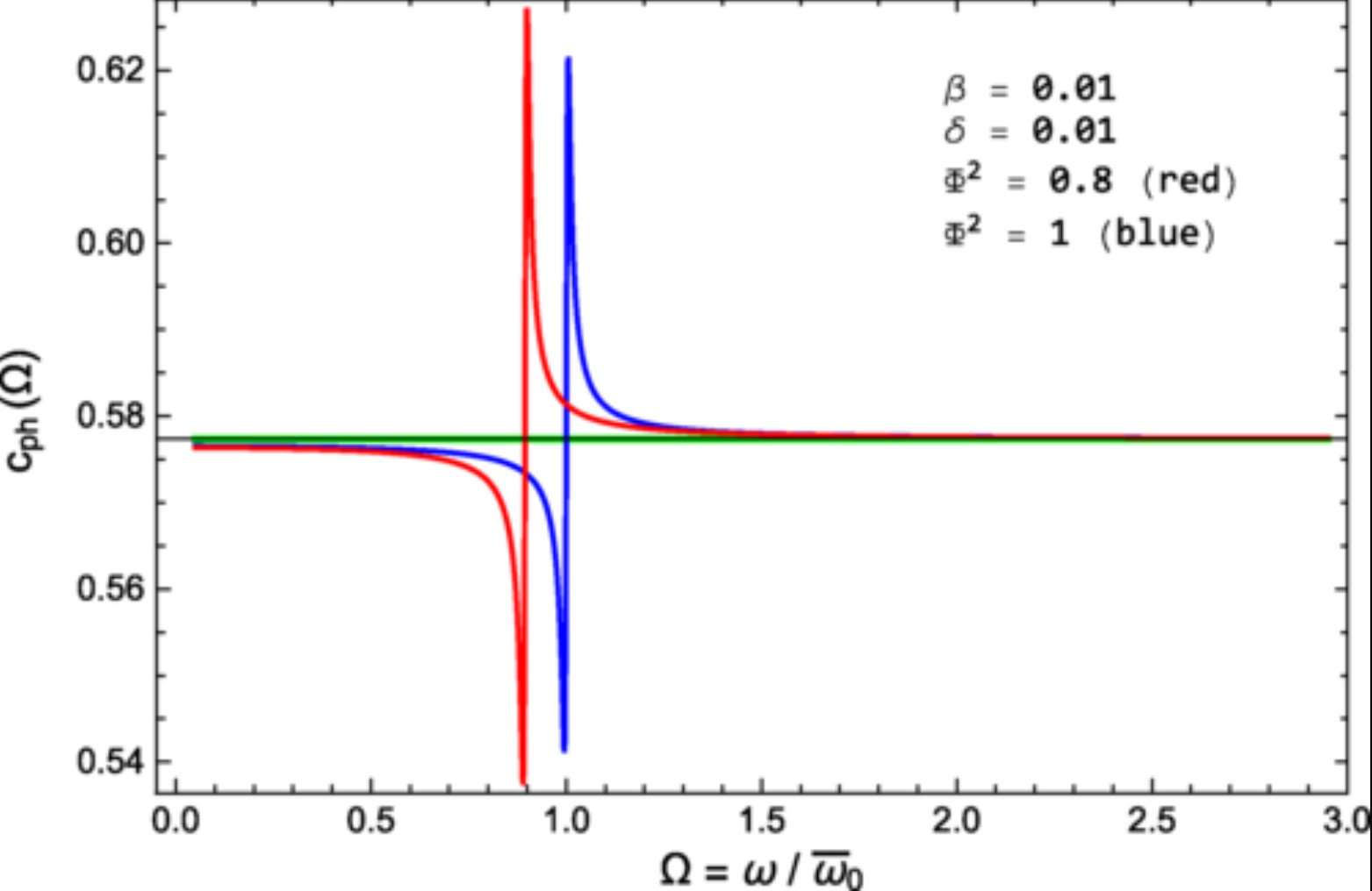
Были построены графики скорости звука от Ωв — отношения частоты звука к резонансной частоте системы, при различных значения параметров уравнения.

Рисунок 1. Скорость звука в пузырьковой HNS как функция Ωв 𝛽 = 0,1, 𝛿 = 0,16. Красная линия соответствует Ф2 = 0,8, а синяя линия — Ф2 = 1. Зеленая линия — скорость звука без пузырьков. Источник: Physical Review D .

Рисунок 2. Скорость звука в пузырьковой HNS как функция Ωв 𝛽 = 0,01, 𝛿 = 0,01. Красная линия соответствует Ф2 = 0,8, а синяя линия — Ф2 = 1. Зеленая линия — скорость звука без пузырьков. Источник: Physical Review D .
Исследователи также построили резонансную кривую затухания звука.

Рисунок 3. Затухание звука как функция Ωв при Ф2 = 0,8, 𝛽 = 0,1 и 𝛿 = 0,16. Резонанс смещен влево от Ωв = 1 из-за затухания. Источник: Physical Review D .
«Статья изначально выросла из доклада, представленного на конференции «Infinite and Finite Nuclear Matter» INFINUM-2023 в конце зимы прошлого года в Дубне , — рассказал Борис Кербиков, доктор физико-математических наук, ведущий научный сотрудник ФИАН, профессор МФТИ и МИФИ. — Нашей целью было изучение поведения звуковых волн внутри пузырьковых гибридных нейтронных звезд. Это такие нейтронные звезды, в которых произошел уже фазовый переход в кварковое вещество, но оно, вместо того, чтобы быть однородным, образует особые структуры, “пузырьки”, упакованные в адронное вещество. Благодаря моделированию нам удалось получить новые и интересные результаты. В частности, оказалось, что у звуковых волн, распространяющихся через такую нейтронную звезду, скорость распространения нелинейным образом зависит от частоты волны звука и от внутренних свойств материи как в адронной, так и в кварковой фазах. Наше исследование проливает свет на природу гибридных нейтронных звезд и закладывает фундамент для будущих исследований».
