Коллектив российских ученых предоставил новые результаты в области термодинамических расчетов состава ионов в условиях холодной и горячей (нормальной) плазмы, широко используемых в атомной спектрометрии для определения элементного и изотопного состава анализируемых проб. Физикам удалось добиться значительного прогресса в понимании образования и поведения первичных фоновых ионов, их роли в поведении плазмы. Работы опубликованы в Journal of Analytical Chemistry.
Индуктивно-связанная плазма — плазма, образующаяся в инертном газе внутри разрядной камеры, горелки или иного плазменного реактора при приложении высокочастотного переменного магнитного поля. Плазма, используемая в спектрохимическом анализе, практически электронейтральна из-за того, что положительный ионный заряд компенсируется отрицательным зарядом свободных электронов.
Понимание роли первичных фоновых ионов в термохимических процессах стало предметом исследований в 1980-х и 1990-х годах. Ученые обратили внимание на то, как ионы, образующиеся в плазме, могут влиять на процессы рекомбинации, ионизации и взаимодействия с нейтральными частицами.
В новых статьях российских ученых опубликованы результаты исследования на основе многокомпонентной квазиравновесной термодинамической модели. В них авторы анализируют термохимические процессы, происходящие в индуктивно связанной плазме, и детали формирования фоновых ионов, которые традиционно вызывают значительные спектральные помехи в анализах. Работы проводились с применением метода термодинамического моделирования, позволяющего определять состав плазмы в зависимости от температуры и состава ее рабочего тела.
В ходе экспериментов была изучена концентрация главных фоновых ионов, таких как H+ , O+ , OH+ , H2O+ , H3O+ , NO+ , Ar+ , ArH+ , ArO+ и др., от температуры плазмы, концентрации водяного аэрозоля, азотной и хловодородной кислот в тестовых системах.
Термодинамические расчеты для холодной плазмы проводили при атмосферном давлении 0,1 МПа в диапазоне температур от 2000 до 5000 К с шагом 500 К. Аналогичные расчеты для нормальной плазмы охватывали температурный интервал от 5000 до 8000 К. Полученные данные демонстрируют, что увеличение температуры плазмы в холодной области до 3500 К приводит к значительному росту концентрации первичных ионов, тогда как для нормальной плазмы выше 5000 К выявилось снижение концентрации ионов H2O+ и H3O+ и в то же время рост концентрации других фоновых ионов. Все это хорошо согласуется с данными экспериментов.
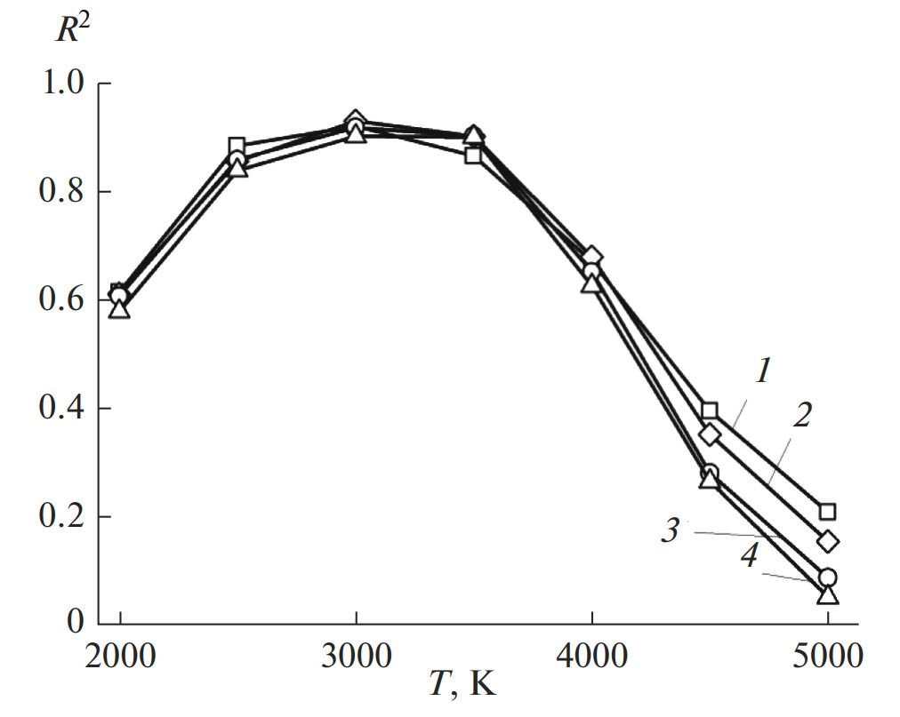
Результаты показали, что применение термодинамического моделирования позволяет достичь высокой степени точности (коэффициент детерминации R² = 0,92) в предсказании газокинетической температуры плазмы. При этом широкое изменение параметров, таких как массовые соотношения компонентов системы, не приводило к значительным изменениям в концентрационных зависимостях.

Рисунок 1. Изменение коэффициента детерминации R² между рассчитанными логарифмами концентраций фоновых ионов и логарифмами экспериментальных интенсивностей этих ионов в зависимости от температуры Т холодной плазмы с различными массовыми соотношениями H2O : HNO3: (1) 10000, (2) 1000, (3) 100 и (4) 25. Источник: Journal of Analytical Chemistry.
«Близость теоретических и экспериментальных данных подтверждает, что первичные фоновые ионы в холодной плазме образуются непосредственно в плазме разряда, что подчеркивает важность понимания этих процессов для аналитических приложений, — рассказал Максим Мальцев, сотрудник кафедры общей физики МФТИ. — Нами был предложен метод для однозначной оценки газокинетической температуры через сравнение расчетных и экспериментальных данных по первичным ионам. Алгоритм термодинамического моделирования может быть дополнен условиями для учета сложных взаимодействий между всеми первичными фоновые ионами».
Результаты исследования продемонстрировали согласие между теоретическими расчетами и реальными экспериментальными данными, что подтверждает эффективность термодинамической модели, используемой для анализа термохимических процессов в индуктивно-связанной плазме. Это согласие открывает двери для возможностей дальнейших расчетов и применения в решении практических аналитических задач.
В работах принимали участие ученые из МФТИ, УрФУ, Института металлургии РАН, Института физики высоких температур РАН, КубГУ.
