Исследователи из России представили новые оригинальные результаты исследования теплофизических свойств твердого и жидкого никеля вблизи точки плавления. Работа, опубликованная в журнале Journal of Applied Physics, посвящена использованию современных квантовых вычислительных методов и экспериментальных методик для понимания свойств этого металла.
Никель, с его высокой температурой плавления около 1728 К, обладает уникальными физическими свойствами, которые делают его важным объектом для исследования в области термодинамики и электроники. Однако традиционные методы измерения физико-химических свойств, таких как плотность, теплопроводность и электропроводность, сильно затруднены при высоких температурах, что побуждает ученых искать новые подходы.
Дмитрий Минаков, доцент кафедры физики высоких плотностей энергии и кафедры физики высокотемпературных процессов МФТИ, отметил: «Понимание теплофизических свойств никеля имеет значение как для фундаментальных исследований, так и для применения в промышленности, поскольку этот металл используется в различных высокотехнологичных областях, включая аэрокосмическую отрасль. Наша работа демонстрирует, как традиционные экспериментальные методы и современные вычислительные подходы могут совместно использоваться для изучения материалов в широком диапазоне температур».
В своей работе авторы применили метод квантовой молекулярной динамики в сочетании с экспериментальной методикой импульсного нагрева, что позволило им получить точные данные о термодинамических, транспортных и оптических свойствах никеля. Для этого специалисты провели расчеты из первых принципов с использованием теории функционала плотности. Для измерений использовался метод нагрева тонких проволочек мощным импульсом тока.
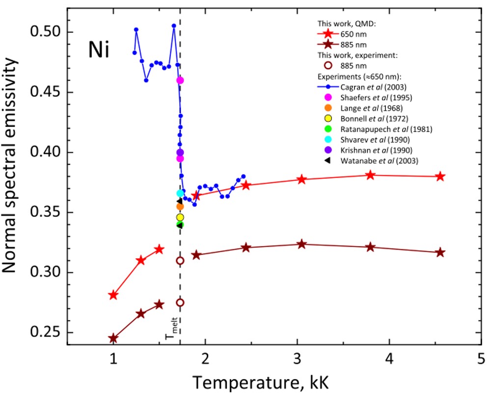
Полученные результаты подтвердили сильную зависимость плотности никеля от температуры как в твердом, так и в жидком состоянии. Значения средней энтальпии, измеренные в процессе плавления, были близки к рекомендованным справочным данным. Авторам работы удалось существенно повысить точность измерений теплофизических свойств при высоких температурах. Для жидкого никеля была обнаружена слабая нелинейная зависимость нормальной спектральной излучательной способности от температуры. Эти данные важны для анализа пирометрических измерений. Кроме того, следует отметить приведенные в работе наиболее точные на сегодняшний момент расчетные данные по уравнению состояния твердого и жидкого никеля до температур 5000 К с учетом спиновой поляризации.
Научная группа провела подробный анализ как результатов экспериментов, так и моделирования, и эти результаты были представлены в виде таблиц, диаграмм и графиков, наглядно иллюстрирующих поведение материала в условиях повышенных температур.

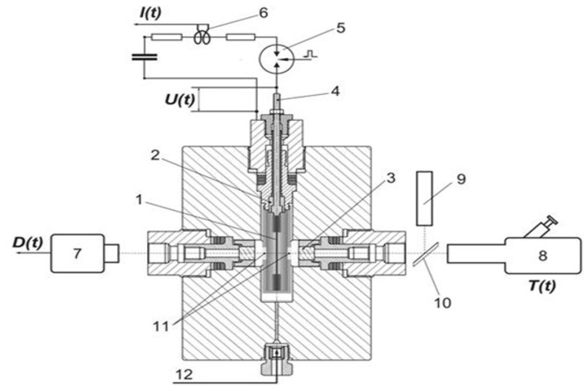
Рисунок 1. Экспериментальная установка для импульсного нагрева: 1 — образец никеля в камере высокого давления; 2 — керамический изолятор; 3 — сапфировое окно; 4 — электрический ввод; 5 — управляемый разрядник; 6 — трансформатор тока; 7 — стрик-камера; 8 — пирометр; 9 — лазер подсветки, 660 нм; 10 — дихроичное зеркало; 11 — защитные стекла; 12 — подача газа (He), 1—7000 бар. Источник: Journal of Applied Physics

Рисунок 2. Изображение развертки поперечного расширения образца никеля в форме проволоки. Ось времени направлена сверху вниз. На изображении отчетливо видны моменты плавления и распада образца. Источник: Journal of Applied Physics

Рисунок 3. Зависимость относительной плотности от температуры при изобарном расширении никеля. Сплошная зеленая линия показывает измерения в эксперименте по импульсному нагреву, синие и красные звезды обозначают результаты КМД расчетов. Источник: Journal of Applied Physics

Рисунок 4. Зависимость нормальной спектральной излучательной способности никеля от температуры вдоль изобары. КМД расчеты представлены символами звезд, красные звезды соответствуют длине волны 650 нм, коричневые — 885 нм. Источник: Journal of Applied Physics
Работа российских ученых, выполненная при поддержке Российского научного фонда, охватывает значимую область исследований, которая благодаря их методологии и полученным данным обещает расширить горизонты знаний о теплофизических свойствах металлов, тем самым открывая новые возможности для науки и техники. Эти результаты имеют значение не только для исследовательского сообщества, но и для промышленных приложений в металлургии и производстве аккумуляторов.
Исследование поддержано грантом Российского научного фонда № 20-79-10398.
