Коллектив ученых из МФТИ, Университета искусственного интеллекта имени Мохаммеда бен Заида (Абу-Даби, ОАЭ), Иннополиса и Сколтеха исследовал задачу решения вариационных неравенств при неточной информации о производных. Им удалось предложить новый численный метод, а также теоретически и экспериментально показать его преимущества перед старыми методами. Работа опубликована в материалах конференции NeurIPS 2024.
В последние годы вариационные неравенства стали важным инструментом в области машинного обучения и оптимизации. Они охватывают широкий класс задач, включая минимизацию и мин-макс задачи. Однако существующие методы второго и более высоких порядков для их решения требуют точного вычисления производных, что часто приводит к чрезмерным затратам на итерации.
Исследования в области вариационных неравенств начались несколько десятилетий назад с заметным прорывом в 1970-х годах, когда был разработан метод экстрагредиента. С тех пор было предложено множество методов, однако большинство из них используют точную информацию о производных функции. В данной работе авторы стремятся ответить на вопросы о том, как можно построить оптимальные методы с учетом этой неточности.
В новой статье, представленной на конференции NeurIPS 2024, исследовано влияние неточности якобиана на методы второго порядка, а именно: доказана нижняя оценка сложности (граница быстрее которой методы с неточным якобианом не могут сходится), предложен оптимальный алгоритм и предложены варианты квази-ньютоновской аппроксимации якобиана.
Авторы предложили новый алгоритм, названный ими VIJI (второй порядок метода для вариационных неравенств с неточностью Якобиана), который достигает сублинейной скорости сходимости. При знании точного значения производных он сходится с той же скоростью, что и обычные оптимальные методы второго порядка.
Авторы предложили несколько квази-ньютоновских приближений, которые значительно снижают затраты на решение вспомогательной задачи, возникающей во всех методах высокого порядка с глобальной сходимостью. Эти приближения и обеспечивают глобальную сублинейную скорость сходимости, значительно ускоряя решение по сравнение с такими традиционными методами, как метод экстраградиента и другие методы первого порядка. В работе ими были представлены как теоретические результаты, подтверждающие оптимальность предложенного алгоритма в монотонном случае, так и экспериментальные данные, демонстрирующие его эффективность.
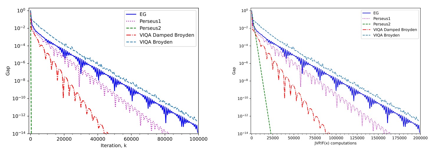
Исследователи сравнили между собой скорость сходимости нового метода с несколькими лучшими и методами в задаче минимакса. Это задачи поиска наилучшего решения при самом худшем возможном сценарии, и они часто встречаются на практике. Например, в задаче поиска такой экономической стратегии, при которой возможные убытки будут минимальными, или в задачах проектирования систем управления или сложных систем, в которых нужно ограничивать возможный ущерб при самом плохом стечении обстоятельств.

Рисунок 1. Сравнение различных методов по количеству итераций, необходимых для получения заранее заданной точности решения. Источник: NeurIPS 2024.
В качестве такой функции ущерба авторы использовали функцию в 50-мерном пространстве, которая представляет из себя сумму квадратичного и небольшого кубического слагаемого, которое обеспечивает наличие минимумов и максимумов.
«Наше исследование показывает, что даже при наличии неточностей в Якобиане можно достигнуть значительных успехов в решении вариационных неравенств. Мы надеемся, что наши результаты откроют новые горизонты для применения высокопорядковых методов в машинном обучении», — рассказал Александр Гасников, заведующий лабораторией математических методов оптимизации МФТИ.
Работа ученых полностью закрывает вопрос о том, как влияет неточность производных второго порядка и выше на качество решения задач. Отметим, что неточные производные появляются не только при использовании разных аппроксимаций, но и в машинном обучении (батчинг). Работа авторов показывает, что квази-ньютоновские методы применимы не только к задачам минимизации, где они уже стали классикой, но и к вариационным неравенствам, где исторически они практически не использовали.
Авторам удалось успешно предложить новые подходы, которые могут быть полезны для дальнейших исследований в области оптимизации и машинного обучения. В будущем они планируют исследовать возможность интеграции неточностей в сам оператор и разработать адаптивные схемы для динамической настройки уровня неточности.
