Коллектив российских физиков из МФТИ, Института теоретической и прикладной электродинамики РАН и ВНИИА им. Н.Л. Духова теоретически доказал и смоделировал удивительное явление: временное охлаждение самого холодного объекта в сложной квантовой системе без использования внешнего холодильника, за счет передачи его тепла более горячим объектам. Этот парадоксальный процесс не нарушает второе начало термодинамики, но бросает вызов нашему интуитивному пониманию тепловых потоков. Результаты работы опубликованы в журнале Physical Review A.
Одно из самых незыблемых правил нашего мира — второе начало термодинамики. Оно гласит, что тепло самопроизвольно перетекает только в одном направлении: от горячего тела к холодному. Именно поэтому остывает чашка с кофе, а не наоборот, и именно этот закон определяет «стрелу времени». Однако в квантовом мире, на уровне отдельных атомов и электронов, привычные правила начинают работать иначе. Здесь в игру вступают не только температуры, но и другие, чисто квантовые, параметры, способные привести к совершенно не интуитивным эффектам.
Рассмотрим так называемую открытую квантовую систему — небольшой объект, который взаимодействует с несколькими крупными внешними средами, или «резервуарами». Можно представить себе крошечный процессор, подключенный одновременно к нескольким источникам питания и радиаторам. Каждый из этих резервуаров обладает своей температурой и, что не менее важно, своим химическим потенциалом. Химический потенциал — это своего рода термодинамический аналог электрического напряжения или давления воды: он характеризует стремление частиц (например, электронов) перетекать из одной области в другую. В терминах этих потоков также можно сформулировать второе начало термодинамики в форме неравенство Клаузиуса. Оно накладывает строгие ограничения на все возможные процессы в системе. Считается, что для простой системы из двух резервуаров — горячего и холодного — это неравенство однозначно запрещает передачу тепла «вверх по течению», от холодного к горячему.
Российские ученые решили заглянуть за кулисы этого фундаментального запрета, а также выяснить, какие возможности скрываются в более сложных системах, состоящих из трех и более резервуаров. Они поставили перед собой вопрос: может ли тепловой поток от самого холодного резервуара к самому горячему все-таки существовать, если другие резервуары будут определенным образом компенсировать этот «неправильный» процесс?
Используя аппарат теории открытых квантовых систем и уравнения Линдблада, описывающие динамику таких систем, физики построили математическую модель, в которой центральная квантовая система была связана с несколькими фермионными резервуарами. Эта модель позволила им получить точные аналитические выражения для потоков энергии и частиц между резервуарами.
В результате моделирования ученые продемонстрировали режим, в котором самый холодный резервуар в системе действительно начинает отдавать тепло и на время становится еще холоднее, а горячий резервуар, в свою очередь, нагревается.

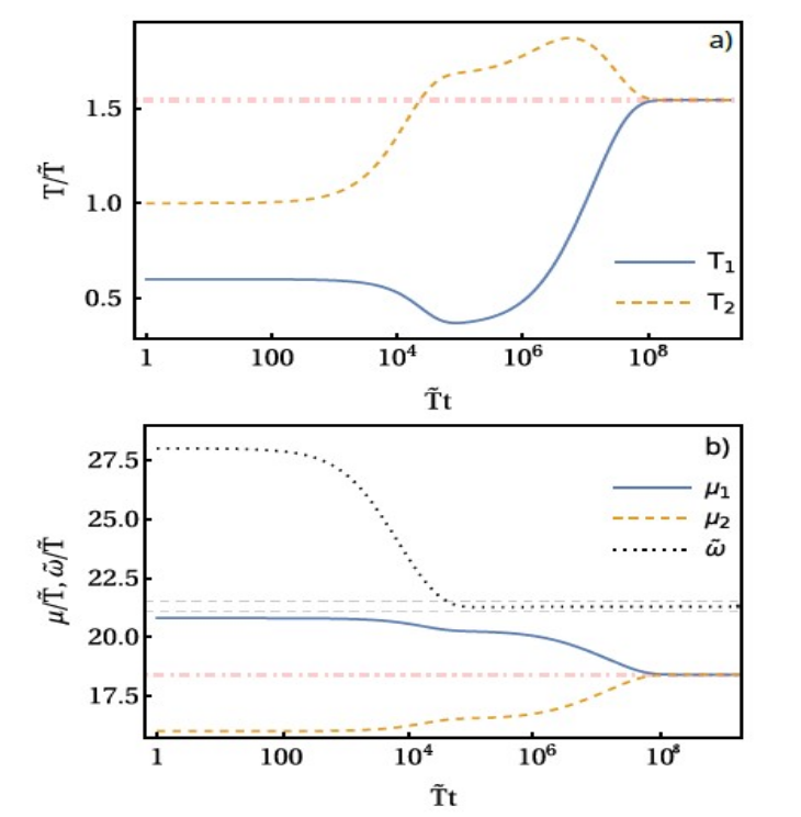
Рисунок 1. Динамика a) температур и b) химических потенциалов двух резервуаров. Источник: Physical Review A.
Изначально самый холодный резервуар временно охлаждается почти вдвое, передавая свою энергию более горячим объектам. Затем, по мере того как система перестраивает свои внутренние потоки, он начинает нагреваться и в итоге приходит к общему равновесию вместе со всеми остальными.
Примечательно, что конечная равновесная температура всей системы оказывается выше, чем любая из начальных температур резервуаров, так как в установление равновесия внесли вклад не только температуры, но и химические потенциалы резервуаров.
Данный режим, реализующийся за счёт настройки собственных мод открытой квантовой системы, на первый взгляд, нарушает второе начало термодинамики. Однако российские ученые показали, что использование корректного определения потоков тепла в квантовых системах, которое учитывает влияние разности химических потенциалов резервуаров, позволяет этого избежать.
Евгений Андрианов, старший научный сотрудник и доцент кафедры теоретической физики им. Л. Д. Ландау МФТИ, прокомментировал: «Классическая интуиция говорит нам, что тепло всегда течет от горячего к холодному. Но в квантовом мире, когда у вас есть несколько систем с разными температурами и, что ключевое, разными химическими потенциалами, картина усложняется. Наша работа показывает, что система может провернуть хитрый трюк: она как бы «занимает» энергию у потока частиц, управляемого разностью химических потенциалов, чтобы на время запустить «неправильный» поток тепла — от холодного тела к горячему. Это временное нарушение привычного порядка, которое в конечном итоге приводит систему к полному равновесию, но сам путь к этому равновесию оказывается нелинейным и полным сюрпризов».
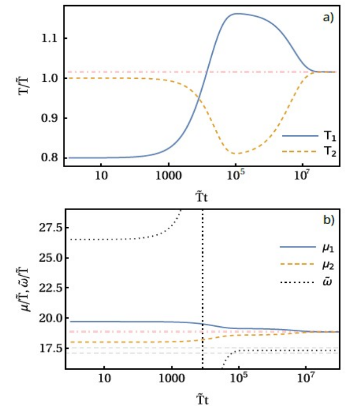
Более того, исследователи обнаружили еще более экзотические режимы. В некоторых случаях система может динамически менять упорядоченность температур.

Рисунок 2. Динамика a) температур и b) химических потенциалов двух резервуаров. Изначально более холодный резервуар может не только охладиться, но затем, разогреваясь, на время стать горячее другого. Источник: Physical Review A.
Новизна работы заключается в том, что она впервые детально исследует именно временную, переходную динамику в квантовых системах, состоящих из нескольких резервуаров. Она показывает, что второе начало термодинамики, оставаясь незыблемым в целом для всей системы, допускает локальные и временные процессы, которые кажутся парадоксальными.
Эти результаты имеют важное практическое значение. Они предлагают новый физический принцип для создания квантовых тепловых машин, в частности, наноразмерных холодильников, которые могли бы локально охлаждать участки квантовых схем, используя не внешнюю работу, а хитро сконфигурированные тепловые и электронные резервуары. Понимание таких нетривиальных тепловых потоков критически важно для теплового менеджмента в будущих квантовых компьютерах и наноэлектронных устройствах. В дальнейшем ученые планируют исследовать возможности управления этим эффектом и найти реальные физические платформы, на которых его можно было бы экспериментально продемонстрировать.
Научная статья: Vovchenko, I. V., Zyablovsky, A. A., Pukhov, A. A., & Andrianov, E. S. (2025). Autonomous coarse-grained cooling of the coldest reservoir not restricted by the second law of thermodynamics. Phys. Rev. A 111, 062204 – Published 2 June, 2025. https://doi.org/10.1103/PhysRevA.111.062204
