Ученые из лаборатории компьютерного дизайна материалов Центра фотоники и двумерных материалов МФТИ предложили новую теоретическую модель, которая объясняет загадочное поведение магнитных свойств в высокотемпературных сверхпроводниках.
Ключевым открытием стало понимание того, что для корректного описания этих материалов необходимо учитывать, как их магнитные взаимодействия меняются во времени, а не только в пространстве. Этот динамический подход позволил разрешить давнее противоречие между теорией и экспериментом. Результаты исследования, поддержанного грантом Российского научного фонда (№ 24-12-00186), опубликованы в разделе Letters журнала Physical Review B.
История высокотемпературной сверхпроводимости — одна из самых интригующих проблем современной физики. С момента открытия в 1986 году материалов, способных проводить электрический ток без потерь при относительно высоких температурах, ученые бьются над разгадкой их тайн.
Одни из самых перспективных кандидатов на эту роль — купраты, сложные оксиды меди. В исходном состоянии эти материалы представляют собой так называемые антиферромагнетики. Их можно представить как идеальную шахматную доску, где спины (собственные магнитные моменты) электронов на соседних атомах меди строго упорядочены и направлены в противоположные стороны. Этот строгий порядок делает материал изолятором. Но стоит внести в него небольшое количество примесей, или, как говорят физики, легировать его, как происходит чудо: материал становится сверхпроводником, а его магнитная структура кардинально меняется.
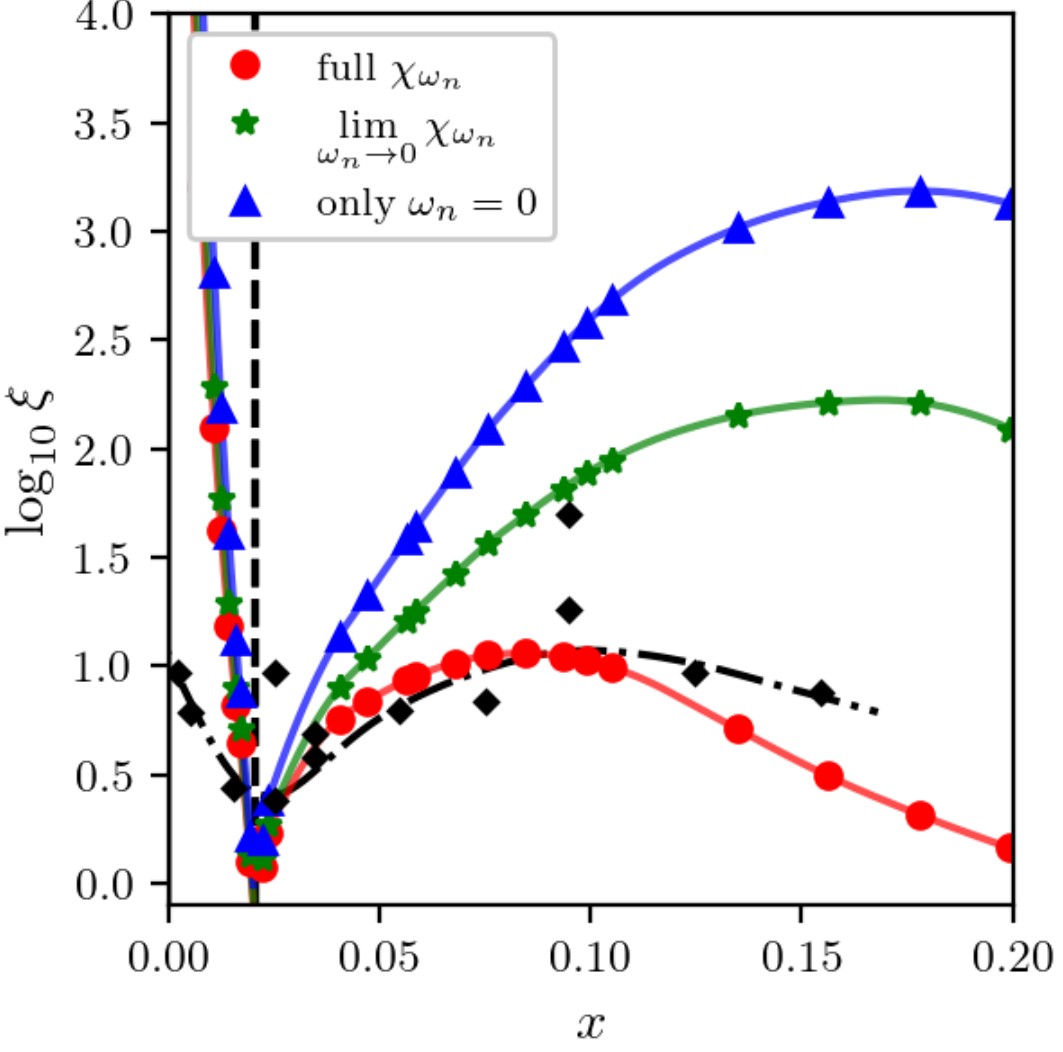
Идеальный дальний магнитный порядок, простирающийся через весь кристалл, исчезает. Вместо него остаются лишь небольшие, разрозненные «островки» динамического магнитного порядка. Расстояние, на котором сохраняются остаточные магнитные корреляции, называется корреляционной длиной. И именно здесь крылась одна из главных загадок: экспериментальные измерения показывали, что эти магнитные «островки» очень малы, их размер составляет всего несколько межатомных расстояний.
Однако существующие теоретические модели предсказывали значительно большие значения, расходясь с реальностью на порядок. Этот разрыв мешал созданию единой теории, способной описать переход от магнитного изолятора к высокотемпературному сверхпроводнику.
Физики-теоретики из лаборатории компьютерного дизайна материалов Центра фотоники и двумерных материалов МФТИ обратили внимание на тонкий, но, как оказалось, решающий аспект, который в предыдущих работах часто упрощался. Речь идет о так называемой спиновой жесткости — параметре, который описывает, насколько сложно «возмутить» упорядоченную магнитную структуру. Эту жесткость можно разделить на пространственную, отвечающую за изменения порядка от точки к точке, и временную, связанную с динамикой, то есть с колебаниями спинов во времени. Большинство предыдущих моделей рассматривали временную жесткость как постоянную величину.
Российские физики предположили, что именно в этом упрощении и кроется корень проблемы. Исследовав детально калибровочную инвариантность микроскопических моделей, они построили более полную модель, в которой временная спиновая жесткость стала динамической величиной, зависящей от частоты колебаний. Полученная модель была детально проверена сравнением ее результатов с микроскопическими подходами.
Расчеты показали, что с ростом частоты колебаний временная спиновая жесткость в купратах резко падает. Этот эффект, который можно сравнить с «размягчением» магнитной системы на высоких частотах, приводит к сильному подавлению квантовых флуктуаций и не позволяет магнитному порядку распространяться на большие расстояния. В итоге вычисленная длина корреляции оказалась на удивление короткой и практически идеально совпала с экспериментальными данными для одного из самых изученных купратов, La₂-ₓSrₓCuO₄.

Рисунок 1. График зависимости корреляционной длины (размер магнитных «островков», вертикальная ось в логарифмическом масштабе) от уровня легирования (горизонтальная ось): новая модель (красные кружки) против старых подходов (синие треугольники и зеленые звезды) и эксперимента (черная линия и ромбы). Источник: Physical Review B
На основе своей модели ученые построили фазовую диаграмму, своего рода «карту магнитных состояний» материала в зависимости от температуры и концентрации примесей. Эта карта предсказала существование лишь очень узкой области легирования, в которой при низких температурах может возникать устойчивый дальний магнитный порядок — еще один факт, хорошо согласующийся с наблюдениями.

Рисунок 2. Фазовая диаграмма магнитных состояний. На диаграмме показано, в каком магнитном состоянии находится материал в зависимости от концентрации электронов n (горизонтальная ось) и температуры T (вертикальная ось). Область AFM соответствует строгому антиферромагнитному порядку. Зеленая область — «островки» порядка. Фиолетовая область — состояние, где магнитный порядок почти полностью разрушен квантовыми флуктуациями. Источник: Physical Review B
Андрей Катанин, главный научный сотрудник лаборатории компьютерного дизайна материалов Центра фотоники и двумерных материалов МФТИ, прокомментировал результаты работы:
«Успех нашей модели открывает дорогу для дальнейших, еще более точных исследований. Мы показали, какой физический механизм играет ключевую роль. Теперь можно двигаться дальше, усложняя модель, чтобы учесть и другие факторы, например локальные флуктуации, выходящие за рамки используемого приближения, или влияние структурного беспорядка. Каждый такой шаг приближает нас к конечной цели — созданию всеобъемлющей теории высокотемпературной сверхпроводимости, которая однажды может привести к созданию материалов, способных изменить наш технологический мир».
Иван Горемыкин, сотрудник лаборатории компьютерного дизайна материалов, аспирант кафедры вычислительной физики конденсированного состояния и живых систем МФТИ, добавил:
«Наше исследование показывает, что для понимания этих сложных систем нельзя пренебрегать их динамикой. Представьте, что вы пытаетесь понять характер движения толпы по одной-единственной фотографии — вы упустите все взаимодействия. Мы же, по сути, перешли от статичной „фотографии” магнитной системы к полноценному „видео”, учтя, как система реагирует на возмущения разной частоты. Оказалось, что именно эта динамика и определяет хрупкость магнитного порядка, наблюдаемую в экспериментах».
Проведенное исследование не только решает конкретную давнюю проблему, но и указывает на важность динамических эффектов в сильно коррелированных электронных системах — классе материалов, к которому относятся не только сверхпроводники, но и многие другие экзотические вещества с потенциалом для будущих технологий. Понимание тонкого баланса между магнетизмом и сверхпроводимостью является одним из главных вызовов современной физики конденсированного состояния, и новое исследование представляет собой важный шаг на пути к его преодолению.
Научная статья: I. A. Goremykin and A. A. Katanin; Frequency dependence of temporal spin stiffness and short-range magnetic order in the doped two-dimensional Hubbard model; Physical Review B, 112, 2025, L060405; DOI: https://doi.org/10.1103/w4vc-n5l6.
Центр фотоники и двумерных материалов МФТИ — это хаб инновационных исследований мирового уровня, где наука превращается в технологии и решения для бизнеса и общества. Центр основан в 2016 году и объединяет 10 лабораторий, ориентированных на опережающие исследования с применением в промышленности и высокотехнологичных отраслях, включая энергетику, нефтегазохимическую сферу, телекоммуникации, IT, медицину и другие индустрии.
