
[columns size=»2/3″ last=»false»]
Международная группа ученых, в состав которой входили исследователи из МФТИ и ИТМО, предложила способ, с помощью которого можно повысить эффективность беспроводной передачи энергии на дальние расстояния, и проверила его с помощью численного моделирования и прямых экспериментов. Для этого исследователи использовали систему двух антенн, на одну из которых направляли дополнительный сигнал, согласованный с поглощаемой волной. Статья опубликована в Physical Review Letters, кратко о ней сообщает журнал Американского физического общества Physics.
Денис Баранов, аспирант МФТИ: «В 2010 году была опубликована теоретическая работа, которая ввела в оборот понятие когерентного поглотителя. В ней авторы продемонстрировали, что процессом поглощения света и электромагнитных волн вообще можно управлять путем интерференции нескольких падающих волн. Мы задались вопросом, можно ли подобным образом управлять другими процессами, например прохождением электромагнитных волн. В качестве системы, где это было бы очень полезно, мы рассмотрели антенну для беспроводной передачи энергии. Нужно ли говорить, насколько велико было наше удивление, когда мы увидели, что передачу энергии можно улучшить, если отбирать часть энергии от приемника (скажем, заряжаемой батареи) и запускать ее назад на принимающую антенну».
Катушки и трансформаторы
Впервые идею беспроводной передачи энергии предложил в конце XIX века Никола Тесла — с помощью системы катушек ему удалось зажечь люминесцентную лампу и лампу накаливания, не связанные с генератором проводами и стоящие от него на некотором отдалении. Для этого он использовал принцип электромагнитной индукции. Заключается этот принцип в следующем. Когда через катушку — цилиндр, обмотанный проводом, — пропускают переменный электрический ток, внутри и снаружи от нее возникает магнитное поле, напряженность которого меняется со временем. Если поместить в это магнитное поле вторую катушку (см. рисунок №1), в силу закона Фарадея в ней наведется электрический ток, который можно использовать для зарядки аккумулятора или передать дальше в сеть.
Беспроводная передача энергии сейчас широко используется, только мы этого не замечаем. В самом деле, трансформаторы, которые встречаются в телевизорах, смартфонах и энергосберегающих лампах, а также применяются для снижения потерь в линиях электропередачи, повышают или понижают напряженность электрического тока именно с помощью таких несвязанных друг с другом катушек. Кроме того, в последнее время технологию, аналогичную технологии Теслы, стали использовать в беспроводных зарядных устройствах — достаточно положить телефон на специальный коврик или поставить электромобиль над зарядной станцией, чтобы аккумулятор устройства начал заряжаться.
К сожалению, подобный способ беспроводной передачи энергии имеет ряд серьезных недостатков, самый главный из которых — низкое дальнодействие. Дело в том, что напряженность переменного магнитного поля, создаваемого катушкой, падает обратно пропорционально расстоянию до нее, а потому вторая катушка должна стоять достаточно близко, чтобы в ней навелся сколько-нибудь заметный электрический ток. Именно поэтому в трансформаторах используют специальные сердечники (магнитопроводы), чтобы предотвратить рассеивание магнитного потока. По той же причине дальность беспроводной зарядки не превышает 3–5 сантиметров и телефон нужно класть на специальный коврик. Конечно, «дальнобойность» можно повысить, если увеличить размеры одной из катушек или силу пропускаемого через нее тока — однако здесь выходит на первый план другая проблема, связанная с вредным воздействием мощного электромагнитного поля на человека. Большинство стран устанавливает допустимые границы мощности: например, в России плотность излучения сотовых станций ограничена десятью микроваттами на квадратный сантиметр.
Как передать энергию по радио
Тем не менее, существуют альтернативные способы беспроводной передачи энергии. В таких способах используются специально сконструированные антенны, одна из которых направленно излучает электромагнитные волны, а вторая поглощает и передаёт их энергию в электрическую цепь. Существенно улучшить излучающую антенну нельзя, поскольку ее работа сводится только к генерации волн. А вот простор для улучшений принимающей антенны гораздо шире.
Важно отметить, что принимающая антенна не поглощает все падающее на нее излучение полностью, но частично переизлучает его обратно в пространство. Грубо говоря, антенну можно описать двумя параметрами — характерным временем переизлучения свободных электромагнитных волн обратно в пространство τF и характерным временем передачи энергии в электрическую цепь τw (см. рисунок №2). Характерное время — это время, в течение которого амплитуда волны уменьшается в заданное число раз (обычно в качестве меры выбирают число e). В зависимости от соотношения между этими временами доля «выкачанной» из падающей волны энергии будет различной, достигая максимума при условии τF = τw. Если время τF меньше времени τw, антенна слишком быстро начинает переизлучать, а в противном случае она слишком медленно воспринимает падающее излучение. Это равенство называется условием согласования (conjugate matching condition). Обычно антенны стараются изготовить так, чтобы оно выполнялось, но абсолютной точности достигнуть сложно. Кроме того, изначально настроенная антенна может легко «расстроиться» из-за изменения температуры, переотражений сигнала от рельефа и других внешних факторов. Наконец, доля поглощенной энергии зависит от частоты падающей волны: эффективнее всего поглощение происходит на резонансной частоте антенны.
[/columns]

Схема принимающей антенны. Падающее излучение обозначено как SF, переданная в электрическую цепь доля — как sw−, дополнительный сигнал, направленный на антенну, — как sw+. Изображение: Алекс Краснок и др., Physical Review Letters
[columns size=»2/3″ last=»false»]
Впрочем, подобные рассуждения работают только в том случае, если принимающая антенна пассивна. Если же на нее будет подаваться дополнительный сигнал со стороны приемника, амплитуда и фаза которого согласованы с амплитудой и фазой падающей волны, волны станут интерферировать, и доля «выкачанной» энергии может измениться. Именно такую конфигурацию рассмотрела в своей работе группа ученых под руководством Андреа Алу (Andrea Alù) при участии Дениса Баранова из МФТИ.
Как заставить волны усилить друг друга
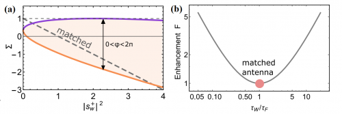
Прежде чем перейти к экспериментальной реализации предложенной схемы, физики теоретически оценили, насколько заметного усиления можно добиться с ее помощью по сравнению с пассивной антенной. Оказалось, что в случае выполнения условия согласования новая схема не позволяет получить какой-либо прирост переданной энергии — антенна и так уже достаточно хорошо настроена. Однако в случае «расстроенных» антенн, для которых времена τF и τw отличаются в несколько раз, дополнительный сигнал начинает оказывать заметное влияние. В зависимости от его фазы и амплитуды энергетический баланс схемы Σ (то есть разность между полученной и затраченной энергией) может превысить энергетический баланс пассивной антенны в несколько раз и дотянуть до энергий, воспринимаемых «настроенной» антенной (см. рисунок №3).
[/columns]

(a) Зависимость энергетического баланса Σ от мощности дополнительного сигнала при условии τF/τw = 0,1 и разном сдвиге фаз между падающей волной и сигналом (область, ограниченная цветными линиями). Для сравнения приведена зависимость для «настроенной» антенны (τF = τw, пунктирная линия). (b) Зависимость коэффициента усиления — отношения максимального энергетического баланса к балансу при нулевом сигнале — от отношения между характерными временами. Изображение: Алекс Краснок и др., Physical Review Letters
[columns size=»2/3″ last=»false»]Чтобы подтвердить теоретические расчеты, учёные численно смоделировали дипольную антенну длиной около 5 сантиметров, соединенную с источником напряжения, и направили на нее излучение с частотой около 1,36 гигагерц. Рассчитанная в такой схеме зависимость энергетического баланса от фазы и амплитуды сигнала в целом совпала с теоретическими оценками. Интересно, что максимальной возможной величины баланс достигал в том случае, если относительная фаза между сигналом и падающей волной равнялась нулю. Ученые объясняют это тем, что при подаче на антенну сигнала ее эффективная апертура (то есть собирающая способность) увеличивается, и доля поглощенной энергии растет. Увеличение апертуры можно увидеть, если посмотреть на вектор Пойнтинга вокруг антенны, то есть на направления переноса энергии электромагнитного излучения (рисунок №4).[/columns]

Величина вектора Пойнтинга вокруг антенны в случае сдвига фаз φ = 0 градусов (слева) и φ = 180 градусов (справа). Изображение: Алекс Краснок и др., Physical Review Letters
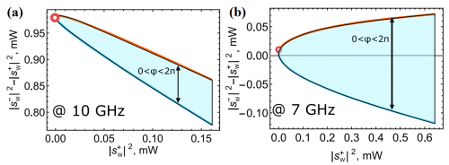
[columns size=»2/3″ last=»false»]Наконец, помимо численных расчетов физики поставили прямой эксперимент с двумя коаксиальными адаптерами, которые работали в качестве микроволновых антенн и находились друг от друга на отдалении около 10 сантиметров. Один из адаптеров излучал волны с энергией около 1 милливатта, а второй пытался принять их и передать по коаксиальному кабелю к полезной нагрузке. На частотах более 8 гигагерц адаптеры работали как «настроенные» антенны и передавали энергию практически без потерь. Однако на меньших частотах доля отраженного излучения резко увеличивалась, и адаптеры больше напоминали «расстроенные» антенны. В этом случае с помощью дополнительных сигналов исследователям удалось увеличить количество переданной энергии практически на порядок.[/columns]

Экспериментально измеренная зависимость энергетического баланса от фазового сдвига и мощности сигнала в случае «настроенной» (a) и «расстроенной» (b) антенны. Изображение: Алекс Краснок и др., Physical Review Letters
