Результаты исследования частот колебаний магнитных моментов в антиферромагнетике, проведенного учеными из Института радиотехники и электроники имени В. А. Котельникова РАН и МФТИ и опубликованного в Journal of Applied Physics, открывают двери к новым возможностям в области спинтроники и магнитоэлектроники.
В последние годы в физике твердого тела проводятся исследования, направленные на изучение различных типов магнитного упорядочения материалов. Одним из малоизвестных, но очень важных типов являются антиферромагнетики, которые обладают уникальными свойствами.
Антиферромагнетики отличаются от ферромагнетиков тем, что они не усиливают внешнее магнитное поле, а компенсируют его полностью. Это происходит за счет ориентации магнитных моментов атомов или ионов вещества в противоположные стороны, что в результате приводит к уничтожению магнитного момента вещества.
Исследователи из ИРЭ РАН и МФТИ провели теоретическое исследование динамики намагниченности антиферромагнетика. Они изучили влияние инерции на частоты антиферромагнитного резонанса и нутационного (от лат. nutatio «колебание; качание, кивание») резонанса.
Суть явления заключается в том, что магнитное поле воздействует на квантовую систему, которая под действием этого поля вращается, но индуцированная ось вращения не совпадает с осью симметрии квантовой системы. Вследствие этого возникает множество интересных эффектов, в частности нутационные колебания. Это можно изобразить в виде простейшей схемы.

Источник: Википедия
Здесь как R обозначено вращение системы, P — прецессия (то есть изменение направления оси вращения с течением времени), N — нутация, которую можно понимать как слабое дрожание оси вращения, описываемое углом нутации.
Таким образом, движение вращающейся системы в трехмерном пространстве, имеющей выделенную ось вращения, может быть описано как вращение системы вокруг этой оси, прецессионные колебания направлений этой оси вращения и нутационные дрожания оси вращения. Каждое из этих трех движений может быть описано как колебательное, поэтому их можно описать с помощью собственных резонансных частот.
Ученые рассмотрели антиферромагнетик, состоящий из двух подрешеток, которые имеют одну ось симметрии. К этой оси симметрии приложено постоянное внешнее магнитное поле.
Они изучили пять разных случаев взаимного расположения оси симметрии и приложенного внешнего магнитного поля.

Пять вариантов взаимного расположения оси симметрии и приложенного внешнего магнитного поля. Источник: Journal of Applied Physics
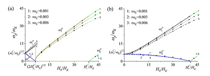
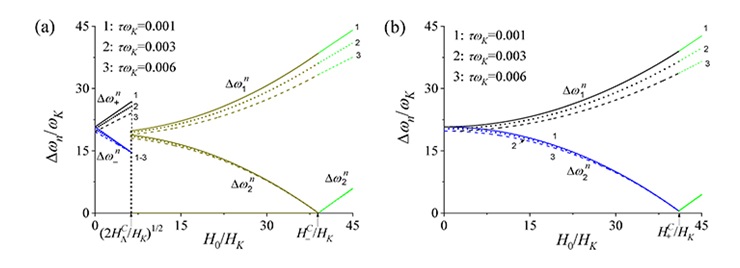
Для каждого из пяти случаев ученые рассчитали положения минимумов энергии и характеристические уравнения для частот малых колебаний. Эти уравнения позволяют определить сами частоты колебаний.
Было произведено исследование влияния переходов между состояниями антиферромагнетика, вызванных внешним магнитным полем, на частоты антиферромагнитных резонансных мод.

Важнейшим результатом исследования было получение функциональной зависимости, описывающей влияние переходов между состояниями антиферромагнетика на частоты мод нутационного резонанса.

Результаты этой работы могут быть использованы для изучения собственных частот инерции намагниченности в теории микромагнетизма. Изучение инерционных эффектов и нутационных резонансов в магнитных системах, особенно в антиферромагнетиках, позволяет понять и использовать свойства инерции намагничивания для увеличения скорости переключения магнитного состояния материала. Фемтосекундные временные масштабы, в которых происходит это переключение, представляют собой потенциально революционный шаг в развитии микроэлектроники, обещая новые возможности в области создания более быстрых и эффективных устройств.
Исследование инерционных эффектов в магнитных системах, в особенности нутационных резонансов, может быть применено при создании управляемых магнитных гетероструктур, таких как современные элементы компьютерной памяти, спиновые транзисторы и быстродействующие логические схемы.
В работе, кроме ученых Института радиотехники и электроники имени В. А. Котельникова РАН и МФТИ, участвовал их коллега из Тринити-колледжа Дублинского университета.
