Международная группа ученых под руководством Алексея Кавокина, директора Международного центра теоретической физики им. А. А. Абрикосова МФТИ, обнаружила принципиально новый способ получения устойчивых локализованных световых структур в поляритонных конденсатах. Работа опубликована в журнале Physical Review B.
Представьте себе высокую морскую волну, которая вместо того, чтобы разбиться о берег или растечься, застывает посреди воды. В физике такие «замерзшие волны» называют солитонами. Это понятие восходит к 1834 году, когда шотландский инженер Джон Скотт Рассел заметил в Эдинбургском канале волну, которая без затухания мчалась несколько миль. С тех пор солитоны обнаружились в самых разных средах: от волоконно-оптических кабелей, по которым летят данные в интернете, до плазмы и квантовых жидкостей. Поймать и удержать подобную структуру в системе из света и вещества — задача, над которой физики бились не одно десятилетие.
В новом исследовании китайские исследователи из Чжэцзянского педагогического университета, Чжэцзянского института фотоэлектроники и Вестлейкского университета совместно с коллегами из МФТИ и Санкт-Петербургского государственного университета нашли элегантный и экспериментально достижимый путь к ее решению.
В основе их работы лежит физика экситон-поляритонов — необычных квазичастиц, рождающихся в полупроводниковых микрорезонаторах при взаимодействии фотонов с экситонами (связанными парами электрона и дырки). Микрорезонатор можно представить как крошечную оптическую ловушку, в которой свет многократно отражается между двумя высококачественными зеркалами и сливается с электронными возбуждениями кристалла в нечто принципиально новое.
Экситон-поляритоны сочетают в себе свойства и света, и вещества: они чрезвычайно легки — их эффективная масса составляет около десятитысячной доли массы электрона (~10⁻⁴ mₑ), но при этом взаимодействуют друг с другом подобно частицам вещества. Именно эта удивительная двойственность позволяет поляритонам конденсироваться в единое квантовое состояние — аналог конденсата Бозе—Эйнштейна — при значительно более высоких температурах, вплоть до комнатных, тогда как атомные конденсаты требуют охлаждения почти до абсолютного нуля.

Поляритонный конденсат — неравновесная система: он существует лишь при постоянной подкачке энергии извне, компенсирующей неизбежные потери фотонов из резонатора. Без накачки конденсат мгновенно «гаснет» — как огонь без кислорода. Именно эта неравновесность делает конденсат богатой средой для нелинейных явлений и неожиданных самоорганизующихся структур.
В поляритонных системах хорошо известны темные солитоны (провалы плотности на однородном фоне) и вихри. Светлые же солитоны — пики повышенной интенсивности на ровном фоне — считались практически недостижимыми при однородной некогерентной накачке: теория предсказывала их нестабильность в таких условиях.
Физики под руководством профессора Хуэйцзюня Ли (Чжэцзянский педагогический университет) и Алексея Кавокина из МФТИ предложили качественно иной подход.
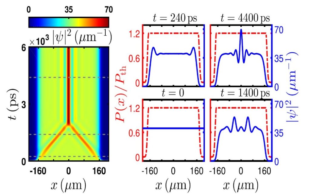
Исследователи установили, что если начать с широкой однородной накачки, а затем ограничить зону накачки конечной областью, то от ее границ внутрь побегут локализованные волны.
Физический смысл этого перехода можно понять и интуитивно: резкая граница накачки — это место, в котором система испытывает перепад условий, своего рода «берег», от которого отталкиваются волны плотности. Сталкиваясь в центре, они не гасят друг друга, а сливаются в устойчивый яркий пик высокой интенсивности, возвышающийся над однородным фоном конденсата.

Самолокализация обусловлена тонким балансом между нелинейным усилением на границах области накачки и кинетической энергией, распределенной по системе. Усиление, поступающее с краев, в точности компенсирует потери в центре, удерживая пик в состоянии динамического равновесия. Самоподдерживающийся пик при этом никуда не движется — он стоит на месте, как маяк, пока работает накачка.
Алексей Кавокин, директор Международного центра теоретической физики им. А. А. Абрикосова МФТИ, прокомментировал: «Мы привыкли думать, что светлые солитоны при однородной накачке нежизнеспособны, это была почти что догма в физике поляритонов. Отталкивающие взаимодействия должны сглаживать пики плотности поляритонов, делая светлые солитоны нестабильными.
Теперь же выяснилось, что светлый солитон все-таки можно сделать стабильным: достаточно правильно выбрать геометрию: ограничить пространственные размеры зоны накачки. Тогда граница сама становится источником локализации. Конденсат как будто „знает”, что его поджимают с краев, и отвечает на это формированием устойчивой яркой структуры в центре.
Что особенно ценно — нам удалось показать, что этот механизм работает даже в тех режимах, где однородный конденсат либо слабо устойчив, либо вовсе неустойчив. То есть наш метод не просто расширяет арсенал известных солитонных решений, он позволяет стабилизировать систему там, где без него порядка не возникает.
Поляритоны — это уникальная лаборатория нелинейной квантовой оптики. Они позволяют нам наблюдать в твердом теле эффекты, которые в атомных конденсатах требуют сверхнизких температур и сложнейшего оборудования. То, что мы описываем в опубликованной работе, может быть реализовано в эксперименте уже сейчас — с оборудованием, которое есть во многих лабораториях мира».
С практической точки зрения результаты вписываются в широкую повестку поляритонных технологий. Поляритонные конденсаты давно рассматриваются как перспективная платформа для оптических вычислений нового поколения: поляритонные нейроны, логические элементы и ультрабыстрые переключатели разработаны на концептуальном уровне, а ряд из них уже продемонстрирован экспериментально.
Устойчивые локализованные пики, которые можно воспроизводимо создавать, позиционировать и настраивать, это потенциальные носители информации в таких системах, своего рода «биты», записанные светом в квантовой среде. В отличие от электронных схем, оптические устройства на поляритонах работают на пикосекундных временных масштабах и практически не рассеивают тепло, что делает их привлекательными с точки зрения энергоэффективности.
Кроме того, поляритонные системы могут использоваться в качестве квантовых симуляторов для изучения нелинейной динамики и фазовых переходов в сильно неравновесных системах. Это актуально для физики конденсированного состояния, астрофизики и биофизики.
Научная статья: Junwei Hu, Muhammad Idrees, Kun Zhang, Ji Lin, Hui-jun Li, Alexey Kavokin. Self-localized solitonlike peak in uniform nonresonantly pumped exciton-polariton condensates // Physical Review B. 2026. Vol. 113. 075157. DOI: 10.1103/kw8l-mh6q. https://doi.org/10.1103/kw8l-mh6q
